リッチー・クレチァン望遠鏡の理論(『吉田正太郎,新版 反射望遠鏡光学入門』(他))

楽しみ方は無限大、アイデア全開
「M」
記事: 73
登録日時: 2023年7月29日(土) 19:25

Re: リッチー・クレチァン望遠鏡の理論(『吉田正太郎,新版 反射望遠鏡光学入門』(他))

投稿記事 by 「M」 »

はらぱん さん  みなさん こんにちは

まずは訂正。
out20260229.png
数式の清書はLaTexを使っているのですが、(2026 1月中という自分で決めた
締切り間際に)書式を変えた際の手作業でy^8の項をy^6の項,y^10の項をy^8と
ズラす間違いをし、そのまま投稿してしまいました(トホホ。)
余計な手間をおかけしました。

Python(/FORTRAN?)形式では

コード: 全て選択

Ds= -(12*m**3+(12*e-36)*m**2+(36-12*e)*m+e**2+e-12)/(384*e**3*m**5)
これですと
m=0.326667; e=0.2525 で
Ds=174.534461 となります。

はらぱん>数式処理ソフトMaximaで厳密解を展開してみました。
「M」も(しばらく前から)Maxima(https://ja.wikipedia.org/wiki/Maxima)を
使っています! 多倍長整数/多倍長浮動小数点数の計算ができるのも便利ですね。その一方、
なかなか「使える」ようにならない。 強力な機能が「満載」で1000ページにおよぶ
Maxima Manualで迷子になってしまいます。
※たとえば「Taylor展開」は見つかるのですが「媒介変数表現の展開」が見つからない...。
近頃は「自分なりのidiomを集められればよい」と考えています。まあ自然言語と同じで
「習うより慣れろ」なのですかね。

はらぱん>これをtにそのまま代入するのではなく、テイラー展開したものを代入して全体をテイラー展開するのだそうです。
※「そのまま代入」しても、ちゃんと結果が出ると思いますが?

はらぱん>mの値を負にしないと正しい答えが出ません。
yの0次項が「m+e」となっていますが「e-m」となる筈ですね(主鏡厳密式でt=0とする。)
主鏡厳密式の入力で「m」の符号が逆になっていませんか?

はらぱん>さて副鏡に関してですが、同様にMaximaで解いているのですが上手くいきません。
はらぱん>極座標などというのは全くわからず詰まってしまいました。

副鏡面の極座標が(ρ, u)のとき、直交座標は(ρ*cos(u), ρ*sin(u))。
副鏡厳密式の左辺は1/ρで右辺は(uでなく)tの式で面倒ですが(主鏡厳密式と同様に)
「倍角公式」で ρ = <uの式>と変形できる。さて、
※主鏡厳密式の場合は、(tを消去して)うまくxがyの関数(陽形式):
※  <x = H(y)>のかたち
※に出来た。そこで Maximaの「taylor()」一発でMaclaurin展開できたが
副鏡厳密式の場合は、
x = ρ(u(t))*cos(u(t))
y = ρ(u(t))*sin(u(t))
を 「陽形式」にできるか? 「媒介変数tを消去できるか?」とも言えますね。
(でも... ... デキソウニ アリマセン!)  そこで方向転換して...

「M」>「我流」で媒介変数表現の展開法をひねりだしました

...ということなのですが、当方のやり方を、いきなり紹介してしまうことは差し控えようと思います。
(Maximaを楽しんでつかっていらっしゃる様子ですので:-)

※Maximaでの「媒介変数表現のMaclaurin展開」も(うまく探せば)見つかるような
※気がしてきました。 理由は...あらためて。

※なお、
※『媒介変数表示関数の微分法 dy/dx=dy/dt/dx/dt』:-
※https://examist.jp/mathematics/derivation/baikaihensuu-bibunhou/
※などを参考にしました。
はらぱん
記事: 14
登録日時: 2026年2月14日(土) 11:48

Re: リッチー・クレチァン望遠鏡の理論(『吉田正太郎,新版 反射望遠鏡光学入門』(他))

投稿記事 by はらぱん »

みなさま こんにちは。

mの符号、tへの代入、Mさんのご指摘のとおりでした。
ありがとうございます。
戴いたヒントをもとに、もう少し勉強します。
はらぱん
記事: 14
登録日時: 2026年2月14日(土) 11:48

Re: リッチー・クレチァン望遠鏡の理論(『吉田正太郎,新版 反射望遠鏡光学入門』(他))

投稿記事 by はらぱん »

みなさまこんにちは。

Mさん、あるいは何方かお助けをお願いします。
RC鏡の副鏡式の展開。
数ⅡBで赤点をとって数学人生が終わった者には難しい問題です。
Mさんに教えていただいたサイトの問題をMaximaで解いて準備体操をし、以下ようなコードを書きました。


/* 1/p の定義 */
inv_p : t/e + (1/m) * ((1 - t/e)^(1/(1-e))) / ((1 - t)^(e/(1-e)));
p:1/inv_p;

/*pのテーラー展開*/
p_t_y:taylor(subst(t=(1 - sqrt(1 - y^2)),p),y,0,8);

/*直交座標 x =*cos(U), y = p*sin(U) に変換 */
/* cos(u) = 1-2t, sin(u) =y */
x_c : p_t_y * (1 - 2*t);
y_c:p_t_y* y;

/*微分*/
xd_dt: diff(x_c,t);
yd_dt: diff(y_c,y);

/*dy/dx*/
dy_dx: yd_dt/xd_dt;

/*d2y/dx2*/
d_dt: diff(dy_dx,y);
inv_xd_dt: 1/xd_dt;
d2y_dx2: d_dt * inv_xd_dt;


コピペで動くと思います。
直交座標に変換したのちの微分で接線が、も一度微分すると接点が求まるという考えでよいのでしょうか。
しかしYの奇数乗になってしまいます・・・
「M」
記事: 73
登録日時: 2023年7月29日(土) 19:25

Re: リッチー・クレチァン望遠鏡の理論(『吉田正太郎,新版 反射望遠鏡光学入門』(他))

投稿記事 by 「M」 »

はらぱん さん  みなさん こんにちは

はらぱん>コピペで動くと思います。 ...
はらぱん>しかしYの奇数乗になってしまいます・・・
うまく行っていれば、dx/dy、d2x/dy2,...では(xもyも消えて)変数はtだけになる筈。
副鏡厳密式のyと主鏡厳密式のyが「混線」している感じですね。
また、 (副鏡の)xを(副鏡の)yの関数として展開したい:-
   x(y) = As*y^0 + Bs*y^2 + Cs*y^4 + Ds*y^6 + ...
ので(dy/dx,d2y/dx2,...でなく)dx/dy、d2x/dy2,...を求めることになりますね...
そこで

コード: 全て選択

/* 1/p の定義 */
inv_p : t/e + (1/m) * ((1 - t/e)^(1/(1-e))) / ((1 - t)^(e/(1-e)));
p:1/inv_p;

/*直交座標 x = p*cos(U), y = p*sin(U) に変換 */
/* cos(u) = sqrt(1-4*(1-t)*t), sin(u) = sqrt(4*(1-t)*t) */

x_c: p * sqrt(1-4*(1-t)*t);
y_c: p * sqrt(4*(1-t)*t);

/*微分*/
xd_dt: diff(x_c,t);
yd_dt: diff(y_c,t);

/*dx/dy*/
dx_dy: xd_dt/yd_dt;

/*d2x/dy2*/
d_dt: diff(dx_dy,t);
inv_yd_dt: 1/yd_dt;
d2x_dy2: d_dt * inv_yd_dt;

factor(subst(t=0, ratsimp(dx_dy)))/1!;  /*1次の項の係数*/	
factor(subst(t=0, ratsimp(d2x_dy2)))/2!;/*2次の項の係数 = Bs*/
とすれば 「yの1次の項の係数」(=0)、「yの2次の項の係数」が出るようになるはずです。
※なお、pを先にテーラー展開してから dx/dy、d2x/dy2,...を
※組み立てるやり方では、「無視した高次項が結果に影響しないこと」の吟味が必要だと思います。

※※ここで使っているMaximaの機能の(おおざっぱな)説明:-
※※コメント  /* ... */  
※※代入   <左辺>:<右辺>
※※書き換え subst(<変数>=<式2>,<式1>)
※※微分   diff(<式>,<変数>)
※※簡約   ratsimp(<式>)
※※因数分解 factor(<式>)
※※※(その他) 四則「+ - * /」,累乗「^」,平方根「sqrt()」,階乗「!」

「M」は、こんなぐあいに書いています:- ※冗長な記述が多いです。

コード: 全て選択

rho(t):= 1 / (  t/e + (1/m) * ((1 - t/e)^(1/(1-e))) / ((1 - t)^(e/(1-e)))
 		); 

/* t = sin(u/2)**2 */
/* cos(u) = sqrt(1-4*(1-t)*t) */
/* sin(u) = sqrt(4*(1-t)*t) */
				
/*rho(t)*cos(u) */
r_param_xx(t):=''rho(t)*sqrt(1-4*(1-t)*t);

/*rho(t)*sin(u) */
r_param_yy(t):=''rho(t)*sqrt(4*(1-t)*t);

/*rho(t)*sin(u)**2 */
/*
r_param_yy(t):=''rho(t)*sqrt(4*(1-t)*t)**2;
*/

r_param_xxd_1(t):=''(diff(r_param_xx(t),t))$
r_param_yyd_1(t):=''(diff(r_param_yy(t),t))$

r_param_xx_yy_d1(t):= ''(ratsimp(r_param_xxd_1(t)/r_param_yyd_1(t)))$
r_param_xx_yy_d2(t):= ''(ratsimp(diff(r_param_xx_yy_d1(t),t)/r_param_yyd_1(t)))$

r_param_xx_yy_d3(t):= ''(ratsimp(diff(r_param_xx_yy_d2(t),t)/r_param_yyd_1(t)))$

factor(ratsimp(r_param_xx_yy_d1(0)));
factor(ratsimp(r_param_xx_yy_d2(0)));
factor(ratsimp(r_param_xx_yy_d3(0)));
※※Maximaの機能の(おおざっぱな)説明(追加):-
※※関数定義  <関数名>(<引数名>,...):=<右辺>
※※評価の抑止 「’」


※はらぱん>直交座標に変換したのちの微分で接線が、も一度微分すると接点が求まるという考えでよいのでしょうか。
※とりあえずの答えは
※「ここでは『形式的に式を操作』しているので、図形的な意味は考えていません...」でしょうか?
※※とはいっても......宿題とさせてください...(「M」は「ななめ下」に考え込んじゃう人なので:-)


※※※>...赤点...
※※※「逆マジック点数」というのもいただきました(次回の試験でxx点越えないと「可」に届かない。)
※※※※※「可山優三」は、とてもムリ。セイゼイいって「不可山良二」(=それだれ?)

閑話休題。
 副鏡厳密式の展開では(主鏡の場合と様子が違って)次数を増やした時の
作業メモリーの容量+計算量の増加がいちじるしいです。「M」の普段づかいの計算機(*1)では
上のやり方でyの次数を0,1,2,...とふやしていくと6次の係数項まで届きませんでした。
「クレチァンもこれ以上進むことができなかったのか...」という状況が、すこし分かった次第です。
さてそこで、また「考え込んじゃった」わけですが...(つづく)

(*1)ほぼ20年前の計算機 = CPU: 2.2GHz, RAM: 4GByte。

※なお、次回投稿は週末以降になると思います。
はらぱん
記事: 14
登録日時: 2026年2月14日(土) 11:48

Re: リッチー・クレチァン望遠鏡の理論(『吉田正太郎,新版 反射望遠鏡光学入門』(他))

投稿記事 by はらぱん »

みなさま こんにちは。

Mさん、添削ありがとうございます。
早速試してみたところ、正しい式が出力されました。
おっしゃるように計算負荷はかなりのもので、CPU-i9、メモリー16Gでy⁶まで7分ほどかかります。
y⁷までだと放っておいたところ約1時間。
なのでy⁸は諦めました。
しかし、式の誤植と合わせて長年気になっていたことが一応解決され、何とも言えないすっきりとした気持ちです。
Maximaも使い始めて3週間ほどなので思うようになりません。
ゆっくりとコードを読んで慣れたいと思います。
本当にありがとうございます。
不可山良二さんは救世主です。
「M」
記事: 73
登録日時: 2023年7月29日(土) 19:25

Re: リッチー・クレチァン望遠鏡の理論(『吉田正太郎,新版 反射望遠鏡光学入門』(他))

投稿記事 by 「M」 »

はらぱん さん  みなさん こんにちは

はらぱん>y⁶まで7分ほどかかります。
さすがi9は速いですね。 single-threadかつ(ほとんど)整数系演算のみの場合は
クロックの差だけ...ではないようです。
とはいえ、当方には、新しい計算機のための予算がない。 当初
普段はつかわないRAMの多い機械を持ち出し、Lisp処理系を速いという評判のSBCLに切り替え
(MaximaはCommon Lispで書いてある)...明け方までかかってy⁶の項を計算しました。
 計算量が、問題の大きさ(この場合は、yの次数を上げていく段数)につき指数関数になっている感じです。
昔、ある先生に「カシコイ算法の工夫は大事だが、問題の大きさを抑える工夫も大事だよ」とおそわり
ましたが、この級数展開の問題では、yの偶数次だけを計算する手があることに気付くのに
時間がかかりました。 その一方『カシコイ算法』も気になる。Schwarzschild,Chrétienは
どうやったのでしょう。 『新版 反射望遠鏡光学入門』 の(9.14)を手がかりにして、いろいろ
やってみて...格段に速く計算できるようになった...と思ったのですが、どうもおかしい。
Maximaをよく理解できていないことを(またまた)思い知らされました。 
この問題ちょっと寝かせて別の方向から取り組もうとおもいます。

 なお、以下の版だと、さほど待たなくても答えがでる筈です。

コード: 全て選択

rho(t):= 1 / (  t/e + (1/m) * ((1 - t/e)^(1/(1-e))) / ((1 - t)^(e/(1-e)))
                );

/* t = sin(u/2)**2 */
/* cos(u) = sqrt(1-4*(1-t)*t) */
/* sin(u) = sqrt(4*(1-t)*t) */

/*rho(t)*cos(u) */
r_param_xx(t):=rho(t)*sqrt(1-4*(1-t)*t);

/*rho(t)*sin(u)**2 */
r_param_yy(t):=rho(t)*sqrt(4*(1-t)*t)**2;

r_param_xxd_1(t):=(diff(r_param_xx(t),t))$
r_param_yyd_1(t):=(diff(r_param_yy(t),t))$

r_param_xx_yy_d1(t):= ((r_param_xxd_1(t)/r_param_yyd_1(t)))$
r_param_xx_yy_d2(t):= ((diff(r_param_xx_yy_d1(t),t)/r_param_yyd_1(t)))$
r_param_xx_yy_d3(t):= ((diff(r_param_xx_yy_d2(t),t)/r_param_yyd_1(t)))$
r_param_xx_yy_d4(t):= ((diff(r_param_xx_yy_d3(t),t)/r_param_yyd_1(t)))$
r_param_xx_yy_d5(t):= ((diff(r_param_xx_yy_d4(t),t)/r_param_yyd_1(t)))$
r_param_xx_yy_d6(t):= ((diff(r_param_xx_yy_d5(t),t)/r_param_yyd_1(t)))$

define(xx_yy_d1(t), ((r_param_xx_yy_d1(t))))$
define(xx_yy_d2(t), ((r_param_xx_yy_d2(t))))$
define(xx_yy_d3(t), ((r_param_xx_yy_d3(t))))$
define(xx_yy_d4(t), ((r_param_xx_yy_d4(t))))$
define(xx_yy_d5(t), ((r_param_xx_yy_d5(t))))$
define(xx_yy_d6(t), ((r_param_xx_yy_d6(t))))$

ratsimp(rho(0));
ratsimp(xx_yy_d1(0));
ratsimp(xx_yy_d2(0));
ratsimp(xx_yy_d3(0));
ratsimp(xx_yy_d4(0));
ratsimp(xx_yy_d5(0));
ratsimp(xx_yy_d6(0));
※比べると、前の版での「悪あがき」が目立ちますね...
はらぱん
記事: 14
登録日時: 2026年2月14日(土) 11:48

Re: リッチー・クレチァン望遠鏡の理論(『吉田正太郎,新版 反射望遠鏡光学入門』(他))

投稿記事 by はらぱん »

Mさん みなさん こんにちは。

Mさんに教えていただいた、RC鏡副鏡の厳密式を繰り返し微分するのは高階微分というものだと知りました。
厳密式直接の微分は計算負荷が大きくy^6までしか計算できませんでしたが、厳密式をテーラー展開したものを微分したところ、割と短時間でもう少し高次の係数を求めることが出来ました。
厳密式を12次まで展開した式は最高30回程度微分が出来ました。
誤差が気になります。
以下のように厳密式と高階微分による展開式に数値を入れて確かめてみました。

コード: 全て選択

/*RC副鏡高階微分による展開式の誤差検証*/
e:0.2525;   /*面間隔*/
m:0.326667;  /*副鏡から焦点位置*/
U:20*(%pi/180);  /*ヴァージェンスアングル(ラジアンに変換)*/
/*t:sin(U/2)^2;*/
y:sin(U);

inv_p : t/e + (1/m) * ((1 - t/e)^(1/(1-e))) / ((1 - t)^(e/(1-e)));    /*厳密解*/
p:1/inv_p;
/*直交座標 x = p*cos(U), y = p*sin(U) に変換 */
/* cos(u) = sqrt(1-4*(1-t)*t), sin(u) = sqrt(4*(1-t)*t) */
x_c: p * sqrt(1-4*(1-t)*t)$
y_c: p * sqrt(4*(1-t)*t)$
X_E:float(ev(x_c,t:sin(U/2)^2))$     /*角度Uの時の厳密解によるx*/
Y_E:float(ev(y_c,t:sin(U/2)^2))$      /*角度Uの時の厳密解によるy*/

/*テーラー展開*/
x_c_ty: taylor( (p * sqrt(1-4*(1-t)*t)),t,0,12 ) $    
y_c_ty: taylor(  (p*sqrt(4*(1-t)*t)),t,0,12)   $
X_T:float(ev(x_c_ty,t:sin(U/2)^2))$  /*角度Uの時のテーラー展開式によるx*/
Y_T:float(ev(y_c_ty,t:sin(U/2)^2))$  /*角度Uの時のテーラー展開式によるy*/

/*高階微分による展開式、有効と思われる次数まで*/
X: m+1.2755078922378549*Y^2
-11.518947586175601*Y^4
+174.53446111285976*Y^6
-3262.2463269834407*Y^8
+67892.03149531294*Y^10
-1509805.1530738475*Y^12
+3.512282857830617·10^7*Y^14
-8.441722091157774·10^8*Y^16
+2.079776770709023·10^10*Y^18
-5.22432006704646·10^11*Y^20
+1.3330023635674469·10^13*Y^22
-3.4452229299281925·10^14*Y^24$
/*+9.00078062129218·10^15*Y^26
-2.3730995418972886·10^17*Y^28
+6.306217105212293·10^18*Y^30
-1.6873002802071778·10^20*Y^32
+4.5417362626753976·10^21*Y^34
-1.2290125299802198·10^23*Y^36
+3.3415176620517266·10^24*Y^38$*/

/*float(y);*/
float(Y_E);
float(Y_T);
print("ヴァージェンスアングル=",float(U/(%pi/180)))$
print("厳密解    =",float(X_E) )$    /*角度Uの時の厳密解によるx*/
print("テーラー展開式  =",float(X_T) )$   /*角度Uの時のテーラー展開式によるx*/
/*角度Uの時の厳密解のyの値を高階微分による展開式に入れる*/
y_h:float(Y_E)$
print("高階微分展開式=",float(ev(X,Y:y_h)) )$

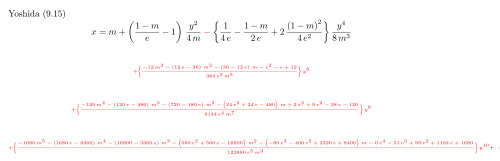
ヴァージェンスアングル(U)を順次書き換えてみると、20°程度が限界で、以降急速に誤差が大きくなります。
F値でいうとF1.6あたりです。
厳密式からの展開次数を60次にしてから微分してみましたが精度は上がりませんでした。
同様に主鏡の展開式の精度も確かめて見ました。
y^60までの展開式で、ヴァージェンスアングル50°くらいが限界でした。

モデルケースにしているe=0.2525,m=0.326667で有効と思われる係数を入力、口径を少し大きくしては、係数を1項ずつ増やして収差を確認するシミュレーションをしました。
初めは口径を増やす(Fを明るくする)と増える収差は、係数の項を増やせば補正されていましたが、y^22の項以降は変化しなくなりました。
結局F1.6程度が限界でした。
テーラー展開した式の高階微分によって得られた展開式の係数で、y^22以上は意味のない数値のようです。

以下光路図と縦収差曲線です。
焦点距離1では分かりづらいので2000にスケーリングしています。
RC_2000_光路図.png
RC_2000_収差.png
主鏡径:1200
副鏡径:500
面間隔:504.9970
焦点距離:1999.9999
バックフォーカス:653.3343
F:1.6666
光路図の最も内側の光線がF10に相当します。

RC鏡を初めて光線追跡したとき、Fを明るくすると収差が急速に増えるのがわかりました。
円錐係数による曲面のせいだと思いましたが、クレチァンの面形状の展開式がy^4までしかわからなかったので、どうすることもできませんでした。
今回ようやく高次の項の算出法がわかり、明るい口径比での光線追跡が出来ました。
しかし展開式次数が全然足らないようです。
『写真レンズの科学』ではF0.54の非球面レンズは190次の非球面と書いてありました。
RC鏡もそのくらい必要なのかもしれません。
『光学機器大全』の中の非球面レンズの章で、吉田先生が級数展開ではせいぜいF1程度までと書かれているのはこういうことなのでしょうか。
面形状を展開式表す方法では、限界があるようです。
今のところこんな具合で暫く停滞しそうです。
「アマチュアは無駄なことをするものだと呆れるばかりだ」といったところです。
「M」
記事: 73
登録日時: 2023年7月29日(土) 19:25

Re: リッチー・クレチァン望遠鏡の理論(『吉田正太郎,新版 反射望遠鏡光学入門』(他))

投稿記事 by 「M」 »

はらぱん さん  みなさん こんにちは

※おかげさまで、本トピックも「自作」的になってきた気がします。
※うれしいことです。

 RC副鏡の厳密式の場合、Maclaurin展開式を見てみると、各項につき
yの次数が高くなると「係数」がドンと大きくなる。yが比較的小さければ
よいのですが、口径を大きくすればyは1に近づきますから...
高次項は小さくなってくれないですね。

はらぱん>『光学機器大全』の中の非球面レンズの章で、吉田先生が
はらぱん>級数展開ではせいぜいF1程度までと書かれているのはこういうことなのでしょうか。

『光学機器大全』『写真レンズの科学』を読み返してみました。
”吉田正太郎” さんが書きました: 私より先に,この問題に正面から取り組んだ人はいません.研究した人は,いるに
はいましたが,みな展開式で近似するとか,いくつかの入射高だけ正弦条件を満足さ
せるとかでした.級数展開ではせいぜいF1程度までしか計算できません.F0.8
とかF0.6とかは,どうにもなりません.
※『光学機器大全』第5章 非球面レンズと非球面鏡 p.235

しかし吉田先生が、どんな「級数展開」を問題にされているのかが
よくわかりません。

はらぱん>『写真レンズの科学』ではF0.54の非球面レンズは190次の非球面と
はらぱん>書いてありました。
吉田先生は、微分方程式の(数値)解を数値計算で解いたと書いている。
しかし(190次の)多項式を、どうやって導いたか、は書いていない。
※厳密式のTaylor展開ではないですね。

はらぱん>RC鏡もそのくらい必要なのかもしれません。

(ちょっと脱線します)「M」は、「いろいろなaplanatがあるように見えるが、
微分方程式としてみると、ほとんど同じなのでは?」というふうに
考え始めています。 とすれば、展開式の収束のようすも、似たようなものかも!?
※「ほとんど」というのがクセモノですが。
chrB2.png
図、RCの主鏡/副鏡の曲線
※完全アプラナート単レンズAAの前面/後面の曲線は
※これによく似ているように思うのですが??

(元に戻って)
吉田>両面とも190次の非球面です。
※『カメラマンのための写真レンズの科学』 3.写真レンズの収差 p.86
と紹介しているアプラナート単レンズは、『光学機器大全』 p.244で説明して
いる「AAG-80シリーズ」だと思います。そこでは、数値積分の際の「刻み」を
周辺部に近づくほと、細かくしたことを説明しています。それによると
「刻んだ」数は95(94?)、得られた95点の座標にyの(偶数次項からなる)
多項式を当てはめると、95*2=190次の式になる...ということ?か
と考えました。(そうだとすると)190次の多項式は「とりあえず作った」もので
近似式を検討すれば、もっと項数(最高次数)を減らせるのではないでしょうか?
※まるで見当違いかもしれませんが。
        ※
はらぱん>しかし展開式次数が全然足らないようです。

Taylor(Maclaurin)展開から高次項を切り捨てて多項式を作る方向では
収束が遅い場合、(含める)高次項を増やしても、計算区間端で多項式値が
厳密式値に近づいてくれないですね。
そこで、RCの厳密式から(直接に)補間多項式を作る方法とは、どうでしょう:-
区間端で厳密式値と値が一致する補間多項式を厳密式から組み立てる...。



※※鏡の頂点での高階微分を計算すれば鏡の周辺までの曲面の様子が
※※(そこそこ)分かってしまうというのは、相当にヘンな(i.e.驚くべき)ことでは
※※ありますけど。

はらぱん>「アマチュアは無駄なことをするものだと呆れるばかりだ」といったところです。

   (:-)

※※吉田先生の『光学機器大全』の
※※「5-18 完全アプラナート単レンズAAの計算法」では、 つれなく
※※「これらの式のみちびきかたは省略」となっていますが、アプラナートレンズの
※※数値計算法の(「Mathematica」の)source codeが以下で公開されています。
※※『Aspherical singlet design following Wassermann-Wolf equations』
※※https://github.com/ayaseCorporation/WassermannWolfMethod
※※"Fit aspherical coefficients"が(微分方程式の)数値解に多項式を当てはめる
※※機能のようですね。

※※論文は
※※『Yamada,Takatoshi:Practical numerical solutions of Wassermann­Wolf equations』
※※https://doi.org/10.1016/j.ijleo.2022.168725
はらぱん
記事: 14
登録日時: 2026年2月14日(土) 11:48

Re: リッチー・クレチァン望遠鏡の理論(『吉田正太郎,新版 反射望遠鏡光学入門』(他))

投稿記事 by はらぱん »

Mさん みなさんこんにちは。

Mさん論文の紹介ありがとうございます。
論文中のアプラナート単レンズの光路図です。
単レンズアプラナート.png
両面変曲点のある曲面ですが、y^12までの曲面式で十分収差補正がされています。
円錐係数も併用されていますが、Mさんご指摘のように、適切な座標点にフィットする多項式を求めることでいけるのかもしれません。
吉田本の190次というのもテイラー展開のy^190というのではなく、ラグランジュ補間の項数だったりするのかもしれません。
Maximaにも、リストにしたデーターにフィットする多項式を求める機能があるようなので、ぼちぼちやってみるつもりです。

Mさんの考察のように、RC鏡もアプラナート単レンズも「光路長一定と正弦条件を満たす2面」ということで同じなのでしょうね。
吉田先生が単レンズアプラナートを研究した時代は、まだ汎用光線追跡ソフトなどというものが出来る前の、光線が通過する面の法線を求めてスネルの法則で屈折する光線を計算する三角追跡の時代です。
現在の光線追跡ソフトで使われる「面形状を展開式で表す」というのは必須ではなかったのかもしれませんね。
最新の光学設計ソフトに任せると、やたら高次の非球面を出してきて困る、というのをネットの記事で見たことがあります。
効率的に非球面をという需要から、今回探してくれた「Yamada論文」が生まれたのかもと思いました。
しかヴァッサーマン・ウォルフなんて知らなかったな・・
はらぱん
記事: 14
登録日時: 2026年2月14日(土) 11:48

Re: リッチー・クレチァン望遠鏡の理論(『吉田正太郎,新版 反射望遠鏡光学入門』(他))

投稿記事 by はらぱん »

Mさん、みなさんこんにちは。
とりあえずやってみようということで、厳密式から(x,y)の数値を計算し、Maximaの最小二乗法で曲線をフィットさせてみました。
以下主鏡、副鏡のそれぞれのコードです。

コード: 全て選択

/*最小二乗法によるRC主鏡の展開式*/
load(lsquares)$/*最小二乗法パッケージ読み込み、最初の一回のみ*/
e:0.2525;
m:0.326667;
U(a):=angle*(%pi/180);   /*ヴァージェンスアングル、ラジアン変換式*/
k1:(1-2*e)/(1-e)$   /*厳密解指数部整理*/
k2: 1/(1-e)$   /*厳密解指数部整理*/

/*ヴァージェンスアングル、t値のリスト*/
U_value_list:float(makelist(U(a),angle,0,50,1));  /*0から50°*/
t_value_list:map(lambda([U],sin(U/2)^2),U_value_list); /*t(U):=sin(U/2)^2;*/

/*y値のリスト*/
y_value_list:map(lambda([U],sin(U)),U_value_list);  /*y:sin(U);*/

/*厳密解式、原点を鏡面頂点に補正(+m)*/
x_exc(t):=m-(t*(1-t))/e -m * e^(-k1) * (e-t)^k1 * (1-t)^k2; 

/*厳密解によるxのリスト、xy値の行列*/
x_value_list: float(map(lambda([t],x_exc(t)),t_value_list));
M_xy:transpose(matrix(x_value_list,y_value_list));

/*展開式の雛形*/
f_X:x=a1*y^2+a2*y^4+a3*y^6+a4*y^8+a5*y^10+a6*y^12+a7*y^14+a8*y^16+a9*y^18+a10*y^20+a11*y^22+a12*y^24+a13*y^26+a14*y^28;
/*最小二乗法による係数*/
result : float(lsquares_estimates(M_xy, [x,y], f_X,[a1,a2,a3,a4,a5,a6,a7,a8,a9,a10,a11,a12,a13,a14]));

コード: 全て選択

/*最小二乗法によるRC副鏡の展開式*/
e:0.2525;
m:0.326667;
U(a):=angle*(%pi/180);  /*ヴァージェンスアングル、ラジアン変換式*/

/*ヴァージェンスアングル、t値リスト*/
U_value_list:float(makelist(U(a),angle,0,50,1));
t_value_list:map(lambda([U],sin(U/2)^2),U_value_list); /*t(U):=sin(U/2)^2;*/

/*直交座標にした厳密解x値の式、原点補正あり*/
x_ortho_p(t):=m-( 1/((1-t/e)^(1/(1-e))/(m*(1-t)^(e/(1-e)))+t/e) ) * (sqrt(1-4*(1-t)*t));
/*直交座標にした厳密解y値の式*/
y_ortho_p(t):=( 1/((1-t/e)^(1/(1-e))/(m*(1-t)^(e/(1-e)))+t/e) )  * ( sqrt(4*(1-t)*t));

/*厳密解によるx,yのリストと行列*/
x_point_list:float(map(lambda([t],x_ortho_p(t)),t_value_list));
y_point_list:float(map(lambda([t],y_ortho_p(t)),t_value_list));
Matrix_xy:transpose(matrix(x_point_list,y_point_list));

/*展開式の雛形*/
Sub_M_X:x=a1*y^2+a2*y^4+a3*y^6+a4*y^8+a5*y^10+a6*y^12+a7*y^14+a8*y^16+a9*y^18+a10*y^20+a11*y^22+a12*y^24+a13*y^26+a14*y^28;
/*最小二乗法による係数*/
result : float(lsquares_estimates(Matrix_xy, [x,y], Sub_M_X,[a1,a2,a3,a4,a5,a6,a7,a8,a9,a10,a11,a12,a13,a14]));
モデルケースにしているe=0.2525,m=0.326667で、ヴァージェンスアングルを0°から50°まで1°刻みで設定しtの値を計算、厳密式に入れて(x,y)の値求めます。
Maximaでは数値はリストとして出力して、最終的には行列にします。
求めたい曲線の展開式を設定して、あとはlsquares_estimates()関数に放り込めば展開式の係数を計算してくれます。
まあなんと便利なことでしょう。

出力された係数を光線追跡ソフトに入れてどんなもんかというところですが、思ったよりいい感じで光線追跡が出来ました。
これでいいのかは分かりませんが・・・
RC_100_光路図.png
今ケースでは焦点距離100にスケーリングしています。
主鏡有効径:114
焦点距離:100
F:0.88

まず目にしたことはないだろうF0.88のRC鏡の収差図です。
RC_100_収差図.png
球面収差、コマ収差とも良く補正されていて、焦点距離の1/5000~1/10000の程度です。

ヴァージェンスアングルの設定は0~50ですが-50~50でもやってみましたが同じでした。
刻みも0.2°とかでやってみましたが特に曲線のフィットの精度が上がるようには思いませんでした。

設定した展開式はy^28までです。
y^8程度だと、ヴァージェンスアングルが20°くらいなら良いのですが、大きくしていくと重要なy^2、y^4の係数が高階微分によるものと大きく離れてしまいました。
項数を増やしていくと徐々に高階微分による係数に近づいていき、結局y^28まで増やすことになりました。
極限値までヴァージェンスアングルを増やしたいのですが、今のところ上手くいっていません。
一歩前進といったところです。
返信する