※「リッチー・クレチァン望遠鏡の理論」の間違いさがし
別の本を探していたら
『吉田正太郎,天文アマチュアのための 新版 反射望遠鏡光学入門,2005』
(以下『新版 反射,2005』)
『吉田正太郎,天文アマチュアのための 新版 屈折,2005』
が出てきました。
『吉田正太郎,天文アマチュアのための望遠鏡光学・反射編,1988』
(以下『反射編,1988』)
『吉田正太郎,天文アマチュアのための望遠鏡光学・屈折編,1989』
の増補/改訂版ですね。
※付箋がついているので、ある程度は読んでいた筈ですが、すっかり忘れていました。
これらの本での「リッチー・クレチァン望遠鏡の理論」に関する小ネタを紹介します。
※※※
さて、「リッチー・クレチァン望遠鏡の厳密解」の誘導が気になって前から、
いろいろ調べています。その過程で(ご存知の方もいらっしゃると思いますが)
吉田先生の一連の本での「RC主鏡の厳密式」の紹介に誤植がまぎれこんで
いるのに気づきました。
この式は、先ず 『吉田正太郎,ガラス反射望遠鏡の歴史 望遠鏡発達史[下],1994』
(以下『発達史[下],1994』)で式「(16)」p.156として紹介されています。
※『反射編,1988』p.172では、RC鏡面の展開式のみで厳密式はまだ見当たりません。クレチァンがこの研究を発表してから,すでに70年以上も経過しているの
に,日本で公開されるのは今回が最初です。原論文は日本に4冊しか入って
いません。
※他方、収差論的な扱い(でいいのかな?)が紹介されているので「実用的」かも。
※
※『発達史[下],1994』では(「お話」的な語りぶりですが)「RC鏡面の近似式の精度」も
※紹介されています。口径5.12[m],F6.8を想定した場合(厳密式にもとずく)級数展開式の
※8次項の大きさが、「十分小さい」という話。
『吉田正太郎,光学機器大全,2000』(以下『大全,2000』)式「(5・63)」p.253で
誤植が起こります。
※同書ではRC鏡面厳密式とその級数展開式のみ紹介で、「収差論的な扱い」は...
※見当たらないようです。
今回出てきた『新版 反射,2005』を期待して調べたましたが式「(9・10)」 p.235は
『大全,2000』と同じ(=訂正されていません)でした。
※『新版 反射,2005』で項の図や本文も、ほとんど『大全,2000』と同じです。
※それに加えて、『反射編,1988』同様の「収差論的な扱い」も紹介されています。
※(が、式途中で改頁があるのは減点!)
実は、先の『発達史[下],1994』の式(16)も、すでに間違っているのです。
※※と主張する『「M」が間違っている』とするのが 「単一故障(作業)仮説」
※※からすると妥当では?』 というツッコミは置いといて (:-)
疑いの目を向ければ簡単に気がつく(筈な)のですが、
みなさんも、ヒマ潰しに見つけてみませんか? といっても
「吉田先生の本を持っていなければ話が始まらない」ではツマラナイので
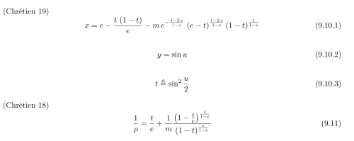
問題の式と「主鏡、副鏡の配置図の簡易版」を添付します。
※※※
まずやさしい誤植探し、『発達史』と『大全』/『新版 反射,2005』の
比較です。
式「(A)」と式「(B)」を並べれば、すぐ気がつきますね。怪しいのは、どっち?
※しかし、「片方しか見ていない」場合、なかなか気づきにくいですよね。 そして、実は両方とも厳密式として「×」。 それを示すのは簡単です。
さてさて? (ヒント:光軸上のx座標は?)
※ 興味を持った方がいらっしゃれば「続編」を投稿いたします。
※といっても現時点で「正解」にはたどり着けていません(トホホ。)
●図、式の説明:
全系の焦点距離を1として、焦点を原点とする直交座標を考えます。
光軸(=x軸:焦点->副鏡を正方向とする)上で測った値「m」「e」を与えて、
主鏡(子午)面の(x,y)座標を表現したのが問題の式です。
※「t」(i.e. 「u」)による「媒介変数表示」というヤツですね。
「m」は焦点・副鏡面間隔(定義上、正)
「e」は主・副鏡面間隔(ふつう正ですね) ※離心率ではありません。
「t」は「sin(u/2)**2」(2乗だから正ですね) ここで「u」は
望遠鏡光軸に平行に入射した光線が(主鏡,副鏡とたどって)焦点で
光軸と交わる角度(=「ヴァージェンス・アングル。」)
※※※
さて、他の式も確かめたくなった私は、クレチァンの原論文を調べたく
なってきました。 数値計算で光線追跡、あるいは
級数展開式との相互参照でも、ある程度の検証はできるでしょうが、
「厳密式」に敬意を表したいと思う次第です。
※もっとも、「高度の数学力」(と資力) の持ち合わせはありません。
※※趣味者の立場からすると「ご苦労でむだな小研究とあきれるのみ」
※※とか言っていただけると嬉しいのですけどね。(:-)
「Le téléscope de Newton et le télescope aplanétique」
(Revue d'optique théorique et instrumentale)
(=「Chretien, H. 1922, Rev. d'opt., 1, 13-22 and 49-64」)は
古書店で入手できるようですが、私には手が届きません。
他方、国内の所蔵は(吉田先生が調べた)当時に比べて増えたようです。
最寄りの図書館で調べてもらうと、ある所蔵図書館の場合、郵送なら
「コピー代が¥50/枚、現金書留で申し込む」で「まず問い合わせて」とのこと。
直接訪問なら「内容確認できるしコピー代も安いでしょう」とも教えてくれました。
電車賃を調べると、コピーの差額+書留料+送料程度で行ってこれるみたい。
そのうち、トコトコ(体調がゆるせば.........)某大学へ出かけたいな。