Abbebeさん ガラクマ さん みなさん こんにちは
※「カセグレンタイプ」で「副鏡の円錐定数」が-1 かつ 副鏡拡大率が3 の場合:-
Abbebe>反射面2面の面間隔の変化(誤差)による球面収差変化(悪化)が無い(微小である)
「BFの異なるアクセサリーを取付けても副鏡フォーカスで球面収差の悪化が微小」
確かにこれは「売り」になりそうです。おもしろい!
そこで、「面間隔を変化させても球面収差の変化」が微小になる条件」を考えてみました。
(参考にしたのは手元の教科書:『Schroeder,Astronomical Optics,2nd Ed』です。
※式(4.5.3)までは同書から。
さきに別の記事でも紹介しましたが同書のpdfが入手できます。
https://archive.org/details/0227-pdf-astronomical-optics-2nd-ed-d.-schroeder-ap-2000-ww
出発点は、式(4.5.3) p.63です。 ここで:-
K1:「主鏡の円錐定数」、K2:「副鏡の円錐定数」、m: 副鏡拡大率
ρ: f2/f1、 (f2:副鏡焦点距離、 f1:主鏡焦点距離)
(4.5.3)は「カセグレンタイプ」の3次球面収差が0になる条件です。この式を
ρで書き換え(A.1)、さらに整理したのが(A.2)。
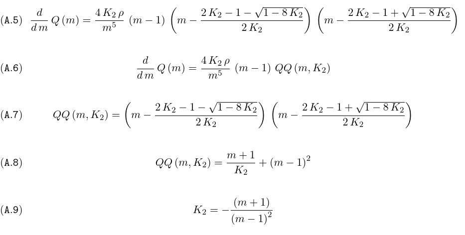
さて、(A.2)の右辺をm(=副鏡拡大率)の関数として「Q(m)」と定義します(A.3)。
「Q(m)」を「m」で微分すると(A.4)。
d/dm(Q(m0))=0を満たすm0付近ではmを微小に変えても「Q(m)」は変化しない。
(つまり K1+1 = Q(m)のママ。)それは 3次球面収差が0のママを意味します。
d/dm(Q(m))=0となるのは、どんな場合か?の見当をつけるには、
(例えば)グラフを描いてみればよい...わけですが, 実は(”驚くべきことに”? :-)
d/dm(Q(m))は因数分解できる(A.5)!
d/dm(Q(m))の右辺の後ろの2つの因子を合わせたものを QQ(m,K2)と
定義します(A.7)
d/dm(Q(m))=0となるのは m = 1 か、 QQ(m,K2)=0 の場合。 さて、
たしかに、K2 = -1 かつ m = 3 でQQ(m,K2)=0 となりますね。
※あるmからQQ(m,K2)=0となるK2を求めるには(A.9)が便利。
『「AB式」とは「QQ(m,K2)=0」を満たす「2枚鏡」』 と定義できると思うのですが
いかがでしょう?
***
ガラクマ >リッチークレチアンについては...副鏡が双曲面と言っていいのでしょうか?
級数展開を使った収差論が(趣味者である「M」からは)(望遠鏡の)光学系設計の
大きな柱に見えます。 面形状を級数展開する際には、円錐曲面項+4次以上の項という
形式にすることが多いようです。※さらに、ある次数以降の項は(微小として)無視する。
2枚鏡の場合、(軸上球面)収差が0となる厳密解は、ごくわずかしか(知られてい)ない
わけですので、ほとんどが近似解 - つまり「解は円錐曲面」といっても4次以上の項が、
ほぼかならず加わっているわけです。 そこで高次項を暗黙の前提として(「円錐曲面項」の
円錐定数に応じて)「双曲面」「楕円面」と表現している、ということではないでしょうか?
※RCの主/副鏡は(とりあえず)双曲面と、DKの主鏡は(とりあえず)楕円面と表現している。
***
ガラクマ >viewtopic.php?t=319
※「リッチー・クレチァン望遠鏡の厳密解」の話ですね。
※Linfさんに教えていただいた、Baranneの論文は(大変、参考になりましたが)
※行き止まってしまい、別の論文(査読は通っているらしいし他の論文の参考文献に
※もなっている)を読み進めていたのですが、(そうとう進んだところで)
※「話のスジ」がおかしくなってしまいました。 ちょっと(永い)お休み中です。
※※もちろん『「M」が間違っている』と思うのですが...。
※※※「対数微分」とか「積分因子」とか、「そんなの習ったっけ?」続出です。
***
Abbebe>吉田正太郎先生の本には、
Abbebe>主鏡:球面、副鏡:高次の係数項を含む双曲面によるカセグレンタイプ...
※※(偏球面でなく)双曲面となっているのは「校正もれ」だと思いますが?
なんちゃらカセグレン式天体望遠鏡のひみつ
Re: なんちゃらカセグレン式天体望遠鏡のひみつ
Pressman-Camichel系の記事
・Ronald E. Pressman, Papers comunicated to the association : An experimental compound reflecting telescope
Journal of the British Astronomical Association Vol. 57 No. 6 p. 224-229 December 1947
NASA/ADSで閲覧の場合は、Classic Form、 Physicsにチェックして誌名・年月で検索
・M. Camichel, Commission des instruments : Correspondance, L'Astronomie Vol. 68 p. 387-391 Octobre 1954
https://gallica.bnf.fr/ark:/12148/bd6t541910425
Bernhard Woldemar Schmidt (1879-1935)撮影の木星・月の写真など
https://plate-archive.hs.uni-hamburg.de ... dt-archive
Type -> Foto Author -> Schmidt, Bernhardで検索
・Ronald E. Pressman, Papers comunicated to the association : An experimental compound reflecting telescope
Journal of the British Astronomical Association Vol. 57 No. 6 p. 224-229 December 1947
NASA/ADSで閲覧の場合は、Classic Form、 Physicsにチェックして誌名・年月で検索
・M. Camichel, Commission des instruments : Correspondance, L'Astronomie Vol. 68 p. 387-391 Octobre 1954
https://gallica.bnf.fr/ark:/12148/bd6t541910425
Bernhard Woldemar Schmidt (1879-1935)撮影の木星・月の写真など
https://plate-archive.hs.uni-hamburg.de ... dt-archive
Type -> Foto Author -> Schmidt, Bernhardで検索
Re: なんちゃらカセグレン式天体望遠鏡のひみつ
Scheiner~Graff, Astrophysik* Teubner 1922 の巻末図版VにEdward Emerson Bernard (1857-1923)の土星の写真と並んで
Schmidtが1916年に撮影した木星の写真があります。
*Julius Scheiner, Populäre Astrophysik 1908, 1912の共著化第3版
・Julius Scheiner (1858-1913)
・Kasimir Graff (1878-1950) Scheinerの元学生 1901~1917 ハンブルク天文台勤務
Schmidtが1916年に撮影した木星の写真があります。
*Julius Scheiner, Populäre Astrophysik 1908, 1912の共著化第3版
・Julius Scheiner (1858-1913)
・Kasimir Graff (1878-1950) Scheinerの元学生 1901~1917 ハンブルク天文台勤務