セミアポ?っていうのはアポではないけど、普通のBK7+F2のアクロでは無いのではということです。
どこで聞いたか、読んだか分かりません。
BK7ではないのでしょうか?
Nikon8cmはセミアポ?
Re: Nikon8cmはセミアポ?
Greetings Garakuma,
Let me introduce myself as Pawpaw and I am a member of Cloudy nights forum in US. I appreciate and follow cloudymeeting and have learned much through the knowledge of your members. Thank you for the question on Nikon 8cm. I will offer the following link on cloudy nights forum that I started last year:
https://www.cloudynights.com/topic/9076 ... 20%20nikon
Post # 52 discussed the question you ask. "Is Nikon 8cm semi-apo?" I have visually compared my Nikon 8cm with Takahashi triplet Semi-apo and also a Goto Semi-Apo from same showa time frame. My eyes can see no difference as color is concerned between Nikon, Takahashi or Goto. Takahashi noted in an ad that Nikon was making Semi-Apo in 1971. Thank you again for the opportunity to present my notes.
Regards
Pawpaw
Let me introduce myself as Pawpaw and I am a member of Cloudy nights forum in US. I appreciate and follow cloudymeeting and have learned much through the knowledge of your members. Thank you for the question on Nikon 8cm. I will offer the following link on cloudy nights forum that I started last year:
https://www.cloudynights.com/topic/9076 ... 20%20nikon
Post # 52 discussed the question you ask. "Is Nikon 8cm semi-apo?" I have visually compared my Nikon 8cm with Takahashi triplet Semi-apo and also a Goto Semi-Apo from same showa time frame. My eyes can see no difference as color is concerned between Nikon, Takahashi or Goto. Takahashi noted in an ad that Nikon was making Semi-Apo in 1971. Thank you again for the opportunity to present my notes.
Regards
Pawpaw
Re: Nikon8cmはセミアポ?
Thanks Pawpaw.
In the past I had received such information and believed so.
However, I have lost the source of that information.
I'm embarrassed that I can't find the source now.
I would like to find it again and confirm it.
Looking forward to your informations.
Incidentally, Nikon produced triplet in the 1920s and doublet apochromatic lenses in the 1930s.
In the past I had received such information and believed so.
However, I have lost the source of that information.
I'm embarrassed that I can't find the source now.
I would like to find it again and confirm it.
Looking forward to your informations.
Incidentally, Nikon produced triplet in the 1920s and doublet apochromatic lenses in the 1930s.
プライベートメッセージです
Re: Nikon8cmはセミアポ?
曇天会議の皆様こんにちは
本家”曇った夜”の皆様はじめまして。m(_ _)m
読ませて頂きました。(^0^;
アポロさんのレスでは確かにNikonD8屈折と高橋D80屈折を同系列で記載して
いるように見えてこれは事実なんでしょうか?初耳です。
レンズデザイン集なども見てはおりませんが、同じ仕様とすると新発見!です。
見え方として回折環とか色付きが同様としているので、あり得ない事もない。
物議を醸したセミアポですが、こうも世界中に拡散すると既に市民権は授かったナ。(^0^8
※それにしてもカビの除去に努力されておいでで、今更ながらに永遠の課題と思ふ。
以前、カビカビのレンズをNik〇nにメンテに出したら、綺麗に取れており、不思議?(^0^?
本家”曇った夜”の皆様はじめまして。m(_ _)m
読ませて頂きました。(^0^;
アポロさんのレスでは確かにNikonD8屈折と高橋D80屈折を同系列で記載して
いるように見えてこれは事実なんでしょうか?初耳です。
レンズデザイン集なども見てはおりませんが、同じ仕様とすると新発見!です。
見え方として回折環とか色付きが同様としているので、あり得ない事もない。
物議を醸したセミアポですが、こうも世界中に拡散すると既に市民権は授かったナ。(^0^8
※それにしてもカビの除去に努力されておいでで、今更ながらに永遠の課題と思ふ。
以前、カビカビのレンズをNik〇nにメンテに出したら、綺麗に取れており、不思議?(^0^?
Re: Nikon8cmはセミアポ?
Thank you Garakuma,
I look forward to seeing the information. I have made direct comparison between Nikon 8cm, Takahashi TS 80 Semi-Apo (triplet) and Goto 8cm Semi-Apo all from same timeframe circa 1976. My comparison was only on sharpness, contrast and chromatic abberation. Since Nikon and Goto are both two balls I thought they couldnt compare with TS 80. Over several sessions of direct comparisons my eyes found all three to be very similar in optical performance. At focus all three exhibited no CA that I could detect by testing on the limb of the moon. Only when focus was shifted out of focus and intra focus could I detect any color. On very bright object like star Sirius all three showed a violet/purple hue.
I look forward to seeing the information. I have made direct comparison between Nikon 8cm, Takahashi TS 80 Semi-Apo (triplet) and Goto 8cm Semi-Apo all from same timeframe circa 1976. My comparison was only on sharpness, contrast and chromatic abberation. Since Nikon and Goto are both two balls I thought they couldnt compare with TS 80. Over several sessions of direct comparisons my eyes found all three to be very similar in optical performance. At focus all three exhibited no CA that I could detect by testing on the limb of the moon. Only when focus was shifted out of focus and intra focus could I detect any color. On very bright object like star Sirius all three showed a violet/purple hue.
Re: Nikon8cmはセミアポ?
みなさま、こんにちわ。
Nikon8cmは、2枚玉のアクロマートですよねぇ。
その姿が見えたのは1967年の国際見本市。
独特な赤道儀架台と太い鏡筒。
Nikonは1971年に25cm屈赤を岐阜天文台に納入していますが、これはセミアポです。
この25cmセミアポは、2枚玉だったと思うのですが。
どなたか、ご存知ありませんか。3枚玉でした?
上野の国立科学博物館のNikon20cmセミアポは2枚玉,3枚玉?
セミアポを、どのような意味合いで使っているかが、問題なのでは。
続く
Nikon8cmは、2枚玉のアクロマートですよねぇ。
その姿が見えたのは1967年の国際見本市。
独特な赤道儀架台と太い鏡筒。
Nikonは1971年に25cm屈赤を岐阜天文台に納入していますが、これはセミアポです。
この25cmセミアポは、2枚玉だったと思うのですが。
どなたか、ご存知ありませんか。3枚玉でした?
上野の国立科学博物館のNikon20cmセミアポは2枚玉,3枚玉?
セミアポを、どのような意味合いで使っているかが、問題なのでは。
続く
Re: Nikon8cmはセミアポ?
みなさま、こんにちわ。
周知のように 国内において、市販の天体望遠鏡にセミアポを冠して売り出したのが(株)高橋製作所でした。
1970年、3枚構成のセミ・アポクロマート対物レンズを装備したTS式65mm屈折赤道儀D型が市販されました。
トリプレット・セミ・アポクロマートを喧伝しているのは、2枚玉セミアポが硝子材の関係からF値を18~20に
設定しなければならないのに対し、3枚玉セミアポはF値をより明るくでき、鏡筒の取り回しも楽にでき、
温度変化にも有利だったからです。
なお、高橋製作所がトリプレット・セミ・アポクロマートを強くアピールしたのには、販売戦略も強く関わって
いたことも言うまでも無いでしょう。
高橋製作所は1966年にTSブランドで天体望遠鏡の国内販売を始めましたが、当初は通信販売が主体でした。
小売店に卸すようになったのは1990年代?だったような。
一方の日本光学工業は、国内販売網が整っており、天体望遠鏡は公共天文台をはじめ教育施設にも納入されてい
ました。
日本光学工業は、1960年代後半から赤道儀架台を新しいタイプに変え、併せて光学性能のアップを図っています。
Nikon 8cm屈折赤道儀も、その流れにあるものです。
カタログスペックは、あくまでも理振法に準拠していれば良いだけで、敢えてそれ以上のことを言う必要がなかっ
たのでは。
ただし、Nikon 8cm屈赤は、その架台の外観が異様です。
パテントをみると架台の創案は吉田末男氏で、先に古スコ広場でも架台の目盛り付き水準器ですが、これは考案が
吉田末男氏、永山嘉重氏になっています。
Nikon 8cm屈折赤道儀が2枚玉でF値15でありながら、TS 80mm トリプレット・セミ・アポ並の光学性能を有してい
るとして。
Nikon 8cmが2枚玉セミアポなら、凹レンズにクルツ・フリントを使うにしてもF値を15にするのは厳しいのではな
いか。
広告で謳っているとおり、厳選された硝子材を使用しているとすれば、セミアポもアクロマートも分解能に差違は
なく、色が付いて見えるかの問題だけなら、Nikon 8cmの工作精度が極めて高いのか。
結局は使用されている硝子材が明らかにならないかぎりは、謎ですねぇ。
周知のように 国内において、市販の天体望遠鏡にセミアポを冠して売り出したのが(株)高橋製作所でした。
1970年、3枚構成のセミ・アポクロマート対物レンズを装備したTS式65mm屈折赤道儀D型が市販されました。
トリプレット・セミ・アポクロマートを喧伝しているのは、2枚玉セミアポが硝子材の関係からF値を18~20に
設定しなければならないのに対し、3枚玉セミアポはF値をより明るくでき、鏡筒の取り回しも楽にでき、
温度変化にも有利だったからです。
なお、高橋製作所がトリプレット・セミ・アポクロマートを強くアピールしたのには、販売戦略も強く関わって
いたことも言うまでも無いでしょう。
高橋製作所は1966年にTSブランドで天体望遠鏡の国内販売を始めましたが、当初は通信販売が主体でした。
小売店に卸すようになったのは1990年代?だったような。
一方の日本光学工業は、国内販売網が整っており、天体望遠鏡は公共天文台をはじめ教育施設にも納入されてい
ました。
日本光学工業は、1960年代後半から赤道儀架台を新しいタイプに変え、併せて光学性能のアップを図っています。
Nikon 8cm屈折赤道儀も、その流れにあるものです。
カタログスペックは、あくまでも理振法に準拠していれば良いだけで、敢えてそれ以上のことを言う必要がなかっ
たのでは。
ただし、Nikon 8cm屈赤は、その架台の外観が異様です。
パテントをみると架台の創案は吉田末男氏で、先に古スコ広場でも架台の目盛り付き水準器ですが、これは考案が
吉田末男氏、永山嘉重氏になっています。
Nikon 8cm屈折赤道儀が2枚玉でF値15でありながら、TS 80mm トリプレット・セミ・アポ並の光学性能を有してい
るとして。
Nikon 8cmが2枚玉セミアポなら、凹レンズにクルツ・フリントを使うにしてもF値を15にするのは厳しいのではな
いか。
広告で謳っているとおり、厳選された硝子材を使用しているとすれば、セミアポもアクロマートも分解能に差違は
なく、色が付いて見えるかの問題だけなら、Nikon 8cmの工作精度が極めて高いのか。
結局は使用されている硝子材が明らかにならないかぎりは、謎ですねぇ。
Re: Nikon8cmはセミアポ?
上野に置いてある20㎝は2枚玉のようですね。実はずっと3枚玉と思ってました。
先月、パネルの写真を撮ったのを思い出して見返してみました。
ちなみに天体望遠鏡博物館の昭和8年製に11㎝屈折は2枚玉アポとの説明がありました。
アポは、3波長以上で焦点が一致する光学系と思ってます。
アクロマートは、広義では2波長で焦点が一致する光学系。狭義では(BK7+F2)の2枚玉
セミアポはアポではないけど、狭義のアクロマートではないレンズ系と理解してよろしいでしょうか。
ちなみにEDガラスを使ったセミアポとかあるんでしょうか?
先月、パネルの写真を撮ったのを思い出して見返してみました。
ちなみに天体望遠鏡博物館の昭和8年製に11㎝屈折は2枚玉アポとの説明がありました。
アポは、3波長以上で焦点が一致する光学系と思ってます。
アクロマートは、広義では2波長で焦点が一致する光学系。狭義では(BK7+F2)の2枚玉
セミアポはアポではないけど、狭義のアクロマートではないレンズ系と理解してよろしいでしょうか。
ちなみにEDガラスを使ったセミアポとかあるんでしょうか?
プライベートメッセージです
Re: Nikon8cmはセミアポ?
みなさま、こんにちわ。
ガラクマさま、情報、ありがとうございます。
吉田正太郎氏の著作の中に2枚玉セミ・アポクロマートの記述があり、気になっていました。
「構造はアクロマートとよく似ているが、第2面と第3面の曲率がずっと深い。
凸レンズの材料は硼珪クラウンのBK1か、またはクラウンのK7で、別に珍しくないが、凹レンズ
にはクルツ・フリントKzF2のような、特に色収差を減らす目的で考案された特殊ガラスを使用する。
かような対物レンズをセミ・アポクロマート(半ー超ー色消の意味)という。
口径比は1:18自至1:25にする。しかし、クルツ・フリントというガラスは作り難くて、せいぜい
直径20cm位までである。」
吉田正太郎、『屈折望遠鏡』、「新天文学講座 第11巻」、恒星社厚生閣、1958
これは、国立科学博物館のNikon 20cm屈赤を念頭に置いていると思われますが、如何でしょう。
セミ・アポクロマートというのは、曖昧な表現だと思います。
(アクロマート以上アポクロマート未満)
学問上は2波長がアクロマート、3波長がアポクロマート、そして4波長がスーパーアクロマートで、
よかったですよねぇ。
セミ・アポクロマートは凹レンズに色収差を減らす特殊ガラスが使用されている組み合わせ。
高橋製作所はクルツ・フリントを真ん中に前後をクラウンガラスで挟み込んでいます。
所謂、トリプレット・セミ・アポクロマート。
余談ですが、誰が設計したんでしょうねぇ。
後にカートン光学にも供給されましたが、カートン光学では供給元の頭文字をとってH式と表記しています。
EDガラスを使うと、もうアポクロマートでは。
でも、K社のED-APO(D-80mm,F=8)は、青ハロがひどく、ほんとにアポなの?、セミ・アポだろうといいたかっ
たです。
ガラクマさま、情報、ありがとうございます。
吉田正太郎氏の著作の中に2枚玉セミ・アポクロマートの記述があり、気になっていました。
「構造はアクロマートとよく似ているが、第2面と第3面の曲率がずっと深い。
凸レンズの材料は硼珪クラウンのBK1か、またはクラウンのK7で、別に珍しくないが、凹レンズ
にはクルツ・フリントKzF2のような、特に色収差を減らす目的で考案された特殊ガラスを使用する。
かような対物レンズをセミ・アポクロマート(半ー超ー色消の意味)という。
口径比は1:18自至1:25にする。しかし、クルツ・フリントというガラスは作り難くて、せいぜい
直径20cm位までである。」
吉田正太郎、『屈折望遠鏡』、「新天文学講座 第11巻」、恒星社厚生閣、1958
これは、国立科学博物館のNikon 20cm屈赤を念頭に置いていると思われますが、如何でしょう。
セミ・アポクロマートというのは、曖昧な表現だと思います。
(アクロマート以上アポクロマート未満)
学問上は2波長がアクロマート、3波長がアポクロマート、そして4波長がスーパーアクロマートで、
よかったですよねぇ。
セミ・アポクロマートは凹レンズに色収差を減らす特殊ガラスが使用されている組み合わせ。
高橋製作所はクルツ・フリントを真ん中に前後をクラウンガラスで挟み込んでいます。
所謂、トリプレット・セミ・アポクロマート。
余談ですが、誰が設計したんでしょうねぇ。
後にカートン光学にも供給されましたが、カートン光学では供給元の頭文字をとってH式と表記しています。
EDガラスを使うと、もうアポクロマートでは。
でも、K社のED-APO(D-80mm,F=8)は、青ハロがひどく、ほんとにアポなの?、セミ・アポだろうといいたかっ
たです。
Re: Nikon8cmはセミアポ?
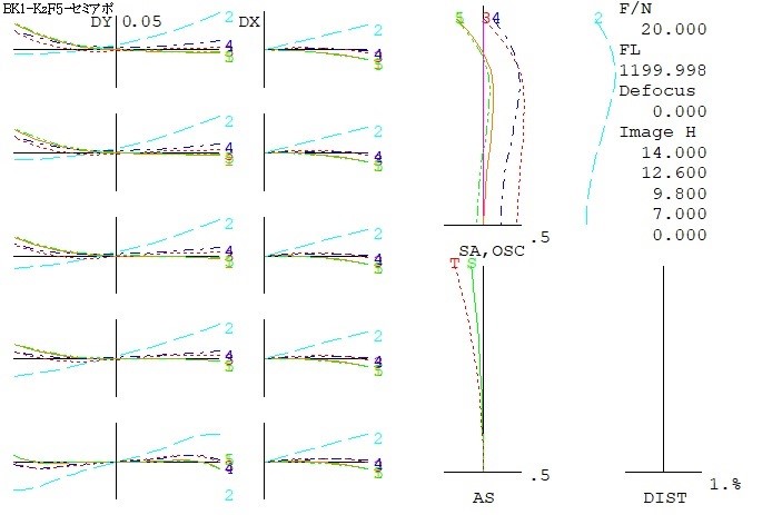
8cmf1200mm BK7-F2アクロマートであればd-CFは0.6mm程度 d-gは2.6mm程度で、このスペックのアクロマートの性能はこのように(左側の図)しかならないと思います。
吉田先生の本に2枚玉セミアポとしてBK1-KzF5が書かれているので8cmf1200mmで試みてみました。
色収差はそこそこ良くなり、これがセミアポの色収差実力なのか?!とも思えますが(EDや蛍石を使ったレベルには程遠いですが)、それよりも球面収差増大が問題で、6cmf1200mm(F20)(右側の図)にしないと球面収差が大きすぎて使えないと思います。
で、ニコンの8cmf1200mmF15はセミアポなのかどうなのか?
やはり良く解らないです。
吉田先生の本に2枚玉セミアポとしてBK1-KzF5が書かれているので8cmf1200mmで試みてみました。
色収差はそこそこ良くなり、これがセミアポの色収差実力なのか?!とも思えますが(EDや蛍石を使ったレベルには程遠いですが)、それよりも球面収差増大が問題で、6cmf1200mm(F20)(右側の図)にしないと球面収差が大きすぎて使えないと思います。
で、ニコンの8cmf1200mmF15はセミアポなのかどうなのか?
やはり良く解らないです。
最後に編集したユーザー Abbebe [ 2025年1月15日(水) 19:19 ], 累計 1 回