2018年に光学硝子メーカーSUMITA Optical Glassから発表されています。
硝子コード=414010 νd=101 のこの硝子は、νd=95の蛍石、及びSD硝子よりも分散が小さく、
また異常分散性も蛍石よりも大きく、この硝子を採用することによってSD硝子採用よりも
また蛍石採用よりももっと2次色収差を小さく抑えたアポクロマートを実現出来そうで、
天体望遠鏡、超望遠レンズ等に今後採用されるのも時間の問題と思われます。
今後、SD、蛍石と差別化が明確に出来るのかが問題となりそうですが、
また、欠点としては、屈折率が低いこと(nd=1.41390)、比重が大きいこと(3.64)が挙げられます。
どこの光学機器メーカーがどういう製品でどういうふうに初採用を謳うのか興味深いですね。
ひょっとして既に何かの製品に採用されているかもしれないですが。
最新超低分散硝子 SUMITA K-FIR100UV
Re: 最新超低分散硝子 SUMITA K-FIR100UV
2枚玉分離型フランホーフェルタイプ対物レンズをφ65mm f1000mm(F15.4)の条件で、
硝材組合せ4通りで設計例を示し、性能を比較してみたいと思います。
1. BK7-F2 一般的なアクロマートです。
c線からF線まではF15の色収差レイリーリミット≒0.5mmになんとか収まっていますが、
g線(紫 グラフでは水色)は大きく超えていて紫のハロが発生しています。
2. SFPL51-LAC14 ED硝子とランタンクラウン硝子の組合せによる一般的なEDアポクロマートです。
g線までレイリーリミットに収まっており、色収差は大きく改善されています。
なお、SFPL51(OHARA)、FCD1(HOYA)はほぼ同等のED硝子で、後者を使っても
ほぼ同等の性能が得られます。
硝材組合せ4通りで設計例を示し、性能を比較してみたいと思います。
1. BK7-F2 一般的なアクロマートです。
c線からF線まではF15の色収差レイリーリミット≒0.5mmになんとか収まっていますが、
g線(紫 グラフでは水色)は大きく超えていて紫のハロが発生しています。
2. SFPL51-LAC14 ED硝子とランタンクラウン硝子の組合せによる一般的なEDアポクロマートです。
g線までレイリーリミットに収まっており、色収差は大きく改善されています。
なお、SFPL51(OHARA)、FCD1(HOYA)はほぼ同等のED硝子で、後者を使っても
ほぼ同等の性能が得られます。
Re: 最新超低分散硝子 SUMITA K-FIR100UV
続きです。
3. FCD100-BK7 SDアポクロマートです。
EDアポクロマートよりもg線色収差が更に改善されています。
SFPL53(OHARA)、FCD100(HOYA)、CaFK95(SUMITA)はほぼ同等のSD硝子で、
どれを使ってもほぼ同等の性能が得られます。蛍石を使っても殆ど同じ結果ですね。
4. K-FIR100UV-BK7 今回のSUMITA最新硝子によるアポクロマートです。
SDアポクロマートよりも更に優秀ですが、さてこの差が性能として確認可能かどうか、
SDアポクロマートとの差別化が可能かどうかかは難しいようにも思われます。
今後の動向を見守って行きたいと思っています。
3. FCD100-BK7 SDアポクロマートです。
EDアポクロマートよりもg線色収差が更に改善されています。
SFPL53(OHARA)、FCD100(HOYA)、CaFK95(SUMITA)はほぼ同等のSD硝子で、
どれを使ってもほぼ同等の性能が得られます。蛍石を使っても殆ど同じ結果ですね。
4. K-FIR100UV-BK7 今回のSUMITA最新硝子によるアポクロマートです。
SDアポクロマートよりも更に優秀ですが、さてこの差が性能として確認可能かどうか、
SDアポクロマートとの差別化が可能かどうかかは難しいようにも思われます。
今後の動向を見守って行きたいと思っています。
Re: 最新超低分散硝子 SUMITA K-FIR100UV
Abbebeさん。ご紹介ありがとうございます。
勉強になります。ただ、少しついていけないところがあります。
・ 欠点にあげられていた屈折率と比重ですが、
屈折率はレンズ設計、曲率にききそうで、なんとなく性能マイナスの方法に働きそうとは思います。
比重はどうきくのでしょうか? 界面での反射だったら屈折率差だろうし、透過率? それとも研磨の難しさ?
どんなでしょう。
勉強になります。ただ、少しついていけないところがあります。
・ 欠点にあげられていた屈折率と比重ですが、
屈折率はレンズ設計、曲率にききそうで、なんとなく性能マイナスの方法に働きそうとは思います。
比重はどうきくのでしょうか? 界面での反射だったら屈折率差だろうし、透過率? それとも研磨の難しさ?
どんなでしょう。
プライベートメッセージです
Re: 最新超低分散硝子 SUMITA K-FIR100UV
ガラクマさん、どうも有難う御座います。
屈折率が低い問題はガラクマさんが書かれているように曲率半径が小さくなる方向でその結果
幾何収差(ここでは球面収差)増大方向となって小F値化は難しくなります。
その場合は例えば2枚に分割して3枚玉アポにすることで解決方向なのですが、体積も重量も1.5倍になります。
ところがここで比重が大きいということで1.5倍よりももっと重くなってしまう訳です。
そもそもレンズは硝子の塊なので同じ体積でも重量は比重によって大きく変わる訳で、
大口径屈折望遠鏡対物レンズや望遠レンズの前玉は少しでも軽い方が扱い易い訳で、
やはり比重3.64(BK7は2.52)は大きいデメリットだと考えられます。
以上、御質問の回答とさせていただきます。
ところで、
話は屈折率に戻って低分散硝子でありながら前出の幾何収差的にも不利にならない硝子ということで
近年最新硝子の高屈折率ED(ガドロンタイプ)硝子というのが接眼レンズやアクセサリー光学部品等に採用されて
出回り始めているようです。
ちょっと勉強してからになりますが近い内にまた詳しく紹介したいと考えています。
屈折率が低い問題はガラクマさんが書かれているように曲率半径が小さくなる方向でその結果
幾何収差(ここでは球面収差)増大方向となって小F値化は難しくなります。
その場合は例えば2枚に分割して3枚玉アポにすることで解決方向なのですが、体積も重量も1.5倍になります。
ところがここで比重が大きいということで1.5倍よりももっと重くなってしまう訳です。
そもそもレンズは硝子の塊なので同じ体積でも重量は比重によって大きく変わる訳で、
大口径屈折望遠鏡対物レンズや望遠レンズの前玉は少しでも軽い方が扱い易い訳で、
やはり比重3.64(BK7は2.52)は大きいデメリットだと考えられます。
以上、御質問の回答とさせていただきます。
ところで、
話は屈折率に戻って低分散硝子でありながら前出の幾何収差的にも不利にならない硝子ということで
近年最新硝子の高屈折率ED(ガドロンタイプ)硝子というのが接眼レンズやアクセサリー光学部品等に採用されて
出回り始めているようです。
ちょっと勉強してからになりますが近い内にまた詳しく紹介したいと考えています。
Re: 最新超低分散硝子 SUMITA K-FIR100UV
皆様こんにちは。
約20年前、住田光学ガラスから従来よりも特性の良いファラデー回転ガラスという特殊なガラスを
開発したというニュースが出たことがありました。
仕事の関係で試してみようと思い勤務先で1cm角厚さ1mmの大きさの物をサンプル購入したのですが、
納入されたガラスは一目見ただけで脈理がわかるひどい代物でした。
ファラデー回転ガラスは偏光を利用する物なので脈理は大敵です。
あまりにひどいので連絡を取り脈理のない物への交換を要望したところ「今は出来ない」という回答だったので
返品し注文をキャンセルしました。
いくら特殊なガラスの開発品とはいえ光学ガラスメーカーが脈理だらけの物を出荷するのはどうかと思いました。
このようなことがあったので住田光学ガラスさんに対する私の印象は良いとは言えません。
(開発担当者が悪かっただけかもしれませんが「坊主憎ければ袈裟まで」的な感じです)
ファラデー回転ガラスは今でも住田光学ガラスのホームページに掲載されています。
「磁石にくっつくガラス」が人目を引くからかもしれません。
(この手のガラスは酸化テルビウムが大量に入っているため磁石にくっつきます)
https://www.sumita-opt.co.jp/ja/products/faraday.html
K-FIR100UVに関しては光学ガラスとして発表しているので、さすがに脈理などは無いと思います。
普及するかどうかは供給量と価格次第でしょうね。
昔、某光学ガラスメーカーにあまり使われていない光学ガラスを少量供給してもらえないか聞いたところ、
普段溶解していないガラスなのですぐには供給できないといわれたことがありました。
カタログに載っていても流通していなければ手に入るとは限らないということです。
量産向けなら作ってもらえるのでしょうけれど天体望遠鏡用となるとそれほど多いとは思えないですね。
ちなみに勤務先でテンパックス(パイレックス代替)のガラス管をShottに特注しようとしたら
溶解は年1回しかしておらず、200kg以上の発注が必要という回答が来たそうです。
こちらの記事に蛍石とEDガラスの特性比較表が載っていました。
https://note.com/gorononlens/n/n2458ede60034
熱膨張係数、ヌープ硬度を見るとEDガラスの方が硬く膨張しないので蛍石よりも研磨し易そうですが
蛍石の方が研磨しやすいと言っているのは耐水性の違いでしょうか。(蛍石はデータが無いですが)
耐水性はコーティングである程度カバーできると思いますが、保管する際は湿度に注意しなければならない
ということになりますね。
約20年前、住田光学ガラスから従来よりも特性の良いファラデー回転ガラスという特殊なガラスを
開発したというニュースが出たことがありました。
仕事の関係で試してみようと思い勤務先で1cm角厚さ1mmの大きさの物をサンプル購入したのですが、
納入されたガラスは一目見ただけで脈理がわかるひどい代物でした。
ファラデー回転ガラスは偏光を利用する物なので脈理は大敵です。
あまりにひどいので連絡を取り脈理のない物への交換を要望したところ「今は出来ない」という回答だったので
返品し注文をキャンセルしました。
いくら特殊なガラスの開発品とはいえ光学ガラスメーカーが脈理だらけの物を出荷するのはどうかと思いました。
このようなことがあったので住田光学ガラスさんに対する私の印象は良いとは言えません。
(開発担当者が悪かっただけかもしれませんが「坊主憎ければ袈裟まで」的な感じです)
ファラデー回転ガラスは今でも住田光学ガラスのホームページに掲載されています。
「磁石にくっつくガラス」が人目を引くからかもしれません。
(この手のガラスは酸化テルビウムが大量に入っているため磁石にくっつきます)
https://www.sumita-opt.co.jp/ja/products/faraday.html
K-FIR100UVに関しては光学ガラスとして発表しているので、さすがに脈理などは無いと思います。
普及するかどうかは供給量と価格次第でしょうね。
昔、某光学ガラスメーカーにあまり使われていない光学ガラスを少量供給してもらえないか聞いたところ、
普段溶解していないガラスなのですぐには供給できないといわれたことがありました。
カタログに載っていても流通していなければ手に入るとは限らないということです。
量産向けなら作ってもらえるのでしょうけれど天体望遠鏡用となるとそれほど多いとは思えないですね。
ちなみに勤務先でテンパックス(パイレックス代替)のガラス管をShottに特注しようとしたら
溶解は年1回しかしておらず、200kg以上の発注が必要という回答が来たそうです。
こちらの記事に蛍石とEDガラスの特性比較表が載っていました。
https://note.com/gorononlens/n/n2458ede60034
熱膨張係数、ヌープ硬度を見るとEDガラスの方が硬く膨張しないので蛍石よりも研磨し易そうですが
蛍石の方が研磨しやすいと言っているのは耐水性の違いでしょうか。(蛍石はデータが無いですが)
耐水性はコーティングである程度カバーできると思いますが、保管する際は湿度に注意しなければならない
ということになりますね。
Re: 最新超低分散硝子 SUMITA K-FIR100UV
専門家の皆様方のお話に興味津々です。
昔、高橋製作所さんがフローライトレンズを作るとき、蛍石の研磨が難しく、歩留まりがめちゃくちゃ悪かったと聞いたことがありますが、EDはそれより難しいとのこと、技術が相当発達したということでしょうか。
プレスというか、成形だけでできたら簡単でしょうが。
話は横道になりますが、以前キヤノンさんが”回折光学素子”を使ったカメラ用レンズを発表して話題になったと思います。
(発表時のサイトが見つかりません。このレンズです)
https://global.canon/ja/c-museum/product/ef366.html
(次世代型)
https://canon.jp/corporate/newsrelease/ ... -is-ii-usm
素人の私には、こちらの方がよくわかります。
https://global.canon/ja/technology/s_la ... 03/02.html
この技術が低価格化されたら、どんなでしょう?
できないのでしょうか。
昔、高橋製作所さんがフローライトレンズを作るとき、蛍石の研磨が難しく、歩留まりがめちゃくちゃ悪かったと聞いたことがありますが、EDはそれより難しいとのこと、技術が相当発達したということでしょうか。
プレスというか、成形だけでできたら簡単でしょうが。
話は横道になりますが、以前キヤノンさんが”回折光学素子”を使ったカメラ用レンズを発表して話題になったと思います。
(発表時のサイトが見つかりません。このレンズです)
https://global.canon/ja/c-museum/product/ef366.html
(次世代型)
https://canon.jp/corporate/newsrelease/ ... -is-ii-usm
素人の私には、こちらの方がよくわかります。
https://global.canon/ja/technology/s_la ... 03/02.html
この技術が低価格化されたら、どんなでしょう?
できないのでしょうか。
プライベートメッセージです
Re: 最新超低分散硝子 SUMITA K-FIR100UV
まず、蛍石は「結晶」で硬さに異方性があります。このため普通に研磨すると研磨面に十字模様の研磨ムラが浮き出たりして球面にうまく磨けません。柔らかいので研磨速度が早すぎて却って精密研磨が難しい代物です。EDガラスは品番によりますが、硬さの点では大分改善しているはずです。
蛍石は結晶ですので融点で溶けて液体になります。ここがガラス(明確な融点がない)と違う点です。
ガラスなら軟化点温度で圧力をかけるとプレスできるので、大雑把な形状はプレスで形成し、表面薄皮一層だけ研磨するという手が使えます。EDガラスの多くはここがポイントとなって普及が進みました。(携帯電話やデジカメ用の小型の物は、プレス一発でできる物もあり、生産性が桁違いです)
開発初期のガラスはアニール条件が定まっていないことが多く、脈理が多い事があります。特に、エコガラス化で酸化鉛やヒ素化合物(消泡剤)を使わなくなった際にはアニール条件が厳しくなってプリズムなどで不良品が多発しました。エコガラス普及初期のZEISS双眼鏡の評判が悪かったことがあります。EDガラスも製品化の初期では顕微鏡用とか小さなレンズで実績を築いてから大型化という流れです。
回折光学系は散乱がゼロにはならず、固有のフレアが出ます。ここの対策が設計のポイントのようです。そんな欠点があっても薄く軽く色収差が少ないという利点を活かす製品価値のデザインが重要でしょう。
https://www.jstage.jst.go.jp/article/ph ... 3_180/_pdf
に積層型の散乱低減型の事例が出ていますが、全帯域で回折効率100%にはなりませんので、わずかなフレアが発生します。
積層型はアライメントの精密性も要求されるので大型化の場合には熱膨張係数を揃えるとか、色々と対策が必要となります。
蛍石は結晶ですので融点で溶けて液体になります。ここがガラス(明確な融点がない)と違う点です。
ガラスなら軟化点温度で圧力をかけるとプレスできるので、大雑把な形状はプレスで形成し、表面薄皮一層だけ研磨するという手が使えます。EDガラスの多くはここがポイントとなって普及が進みました。(携帯電話やデジカメ用の小型の物は、プレス一発でできる物もあり、生産性が桁違いです)
開発初期のガラスはアニール条件が定まっていないことが多く、脈理が多い事があります。特に、エコガラス化で酸化鉛やヒ素化合物(消泡剤)を使わなくなった際にはアニール条件が厳しくなってプリズムなどで不良品が多発しました。エコガラス普及初期のZEISS双眼鏡の評判が悪かったことがあります。EDガラスも製品化の初期では顕微鏡用とか小さなレンズで実績を築いてから大型化という流れです。
回折光学系は散乱がゼロにはならず、固有のフレアが出ます。ここの対策が設計のポイントのようです。そんな欠点があっても薄く軽く色収差が少ないという利点を活かす製品価値のデザインが重要でしょう。
https://www.jstage.jst.go.jp/article/ph ... 3_180/_pdf
に積層型の散乱低減型の事例が出ていますが、全帯域で回折効率100%にはなりませんので、わずかなフレアが発生します。
積層型はアライメントの精密性も要求されるので大型化の場合には熱膨張係数を揃えるとか、色々と対策が必要となります。
Re: 最新超低分散硝子 SUMITA K-FIR100UV
ビクセン新鏡筒VSD90SSのスレッドにも書きましたが、OHARA製SD硝子S-FPL53(439950)ですが、
その後に開発されたほぼ同等特性のコスト合理化硝子S-FPL55(439948)にどうも今後置き換えられて行くように
私には思われます。
今回取り上げたSUMITA K-FIR100UVと同等特性を持つ後発他社製品はまだ表れていないようです。
もし新情報等有るようであれば是非レスにて書込みいただけると嬉しいです。
その後に開発されたほぼ同等特性のコスト合理化硝子S-FPL55(439948)にどうも今後置き換えられて行くように
私には思われます。
今回取り上げたSUMITA K-FIR100UVと同等特性を持つ後発他社製品はまだ表れていないようです。
もし新情報等有るようであれば是非レスにて書込みいただけると嬉しいです。
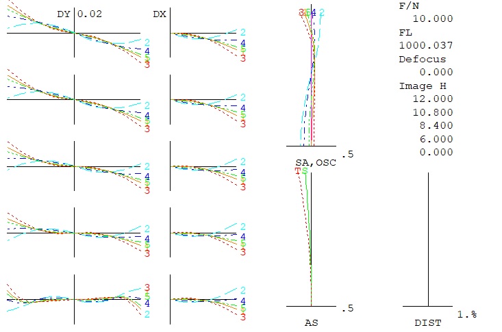
Re: 最新超低分散硝子 SUMITA K-FIR100UV
11月16日にはこのK-FIR100UVとBK7の組合せでφ65mmf1000mm(F15.4:色収差レイリーリミット≒0.5)2枚玉分離型
フランホーフェルタイプの条件で、
FCD100、SFPL53等のSD硝子とBK7の組合せよりも高性能となる可能性を示しましたが、
今時F15は暗過ぎで時代遅れなので今回はφ100mmf1000mm(F10:色収差レイリーリミット≒0.22)にて
検討してみることにします。
1. K-FIR100UV-BK7 φ100mmf1000mm(F10)2枚玉分離型フランホーフェルタイプ
入射瞳径(有効径)φ70mmよりも外側で球面収差、軸上色収差共に急激に大きく発生してしまって、
F15→F10は性能確保が難しいことが解りますが、
0.7入射高(h=35mm(φ70mm))の外側と内側でほぼ対象になるように球面収差、色収差共にバランスさせることで
最良性能とします!
2. K-FIR100UV-SKLD5 φ100mmf1000mm(F10)2枚玉分離型フランホーフェルタイプ
凹レンズ硝材を変更して性能向上の可能性を求めてみました。SKLD5はSK5の改善硝材です。
BK7からSKLD5に変更したことによる改善効果は認められますね!
いずれにしてもK-FIR100UV使用による屈折望遠鏡はSDアポよりも性能向上の可能性は有るということですね!
ということで、私が生きている内になんとかこの硝子を使用した自作屈折機を完成させたいと密かに考えています。
フランホーフェルタイプの条件で、
FCD100、SFPL53等のSD硝子とBK7の組合せよりも高性能となる可能性を示しましたが、
今時F15は暗過ぎで時代遅れなので今回はφ100mmf1000mm(F10:色収差レイリーリミット≒0.22)にて
検討してみることにします。
1. K-FIR100UV-BK7 φ100mmf1000mm(F10)2枚玉分離型フランホーフェルタイプ
入射瞳径(有効径)φ70mmよりも外側で球面収差、軸上色収差共に急激に大きく発生してしまって、
F15→F10は性能確保が難しいことが解りますが、
0.7入射高(h=35mm(φ70mm))の外側と内側でほぼ対象になるように球面収差、色収差共にバランスさせることで
最良性能とします!
2. K-FIR100UV-SKLD5 φ100mmf1000mm(F10)2枚玉分離型フランホーフェルタイプ
凹レンズ硝材を変更して性能向上の可能性を求めてみました。SKLD5はSK5の改善硝材です。
BK7からSKLD5に変更したことによる改善効果は認められますね!
いずれにしてもK-FIR100UV使用による屈折望遠鏡はSDアポよりも性能向上の可能性は有るということですね!
ということで、私が生きている内になんとかこの硝子を使用した自作屈折機を完成させたいと密かに考えています。