リッチー・クレチァン望遠鏡の理論(『吉田正太郎,新版 反射望遠鏡光学入門』(他))

楽しみ方は無限大、アイデア全開
返信する
「M」
記事: 62
登録日時: 2023年7月29日(土) 19:25

リッチー・クレチァン望遠鏡の理論(『吉田正太郎,新版 反射望遠鏡光学入門』(他))

投稿記事 by 「M」 »

みなさん こんにちは

※「リッチー・クレチァン望遠鏡の理論」の間違いさがし

別の本を探していたら
 『吉田正太郎,天文アマチュアのための 新版 反射望遠鏡光学入門,2005』
                      (以下『新版 反射,2005』)
 『吉田正太郎,天文アマチュアのための 新版 屈折,2005』
が出てきました。

 『吉田正太郎,天文アマチュアのための望遠鏡光学・反射編,1988』
                       (以下『反射編,1988』)
 『吉田正太郎,天文アマチュアのための望遠鏡光学・屈折編,1989』
の増補/改訂版ですね。
※付箋がついているので、ある程度は読んでいた筈ですが、すっかり忘れていました。

これらの本での「リッチー・クレチァン望遠鏡の理論」に関する小ネタを紹介します。
              ※※※
 さて、「リッチー・クレチァン望遠鏡の厳密解」の誘導が気になって前から、
いろいろ調べています。その過程で(ご存知の方もいらっしゃると思いますが)
吉田先生の一連の本での「RC主鏡の厳密式」の紹介に誤植がまぎれこんで
いるのに気づきました。

 この式は、先ず 『吉田正太郎,ガラス反射望遠鏡の歴史 望遠鏡発達史[下],1994』
(以下『発達史[下],1994』)で式「(16)」p.156として紹介されています。
クレチァンがこの研究を発表してから,すでに70年以上も経過しているの
に,日本で公開されるのは今回が最初です。原論文は日本に4冊しか入って
いません。
※『反射編,1988』p.172では、RC鏡面の展開式のみで厳密式はまだ見当たりません。
※他方、収差論的な扱い(でいいのかな?)が紹介されているので「実用的」かも。

※『発達史[下],1994』では(「お話」的な語りぶりですが)「RC鏡面の近似式の精度」も
※紹介されています。口径5.12[m],F6.8を想定した場合(厳密式にもとずく)級数展開式の
※8次項の大きさが、「十分小さい」という話。

 『吉田正太郎,光学機器大全,2000』(以下『大全,2000』)式「(5・63)」p.253で
誤植が起こります。
※同書ではRC鏡面厳密式とその級数展開式のみ紹介で、「収差論的な扱い」は...
※見当たらないようです。

 今回出てきた『新版 反射,2005』を期待して調べたましたが式「(9・10)」 p.235は
『大全,2000』と同じ(=訂正されていません)でした。
※『新版 反射,2005』で項の図や本文も、ほとんど『大全,2000』と同じです。
※それに加えて、『反射編,1988』同様の「収差論的な扱い」も紹介されています。
※(が、式途中で改頁があるのは減点!)


 実は、先の『発達史[下],1994』の式(16)も、すでに間違っているのです。
※※と主張する『「M」が間違っている』とするのが 「単一故障(作業)仮説」
※※からすると妥当では?』  というツッコミは置いといて (:-)

 疑いの目を向ければ簡単に気がつく(筈な)のですが、
みなさんも、ヒマ潰しに見つけてみませんか?  といっても
「吉田先生の本を持っていなければ話が始まらない」ではツマラナイので
問題の式と「主鏡、副鏡の配置図の簡易版」を添付します。
              ※※※
 まずやさしい誤植探し、『発達史』と『大全』/『新版 反射,2005』の
比較です。

式「(A)」と式「(B)」を並べれば、すぐ気がつきますね。怪しいのは、どっち?
※しかし、「片方しか見ていない」場合、なかなか気づきにくいですよね。
k.png
 そして、実は両方とも厳密式として「×」。 それを示すのは簡単です。
さてさて? (ヒント:光軸上のx座標は?) 

※ 興味を持った方がいらっしゃれば「続編」を投稿いたします。
※といっても現時点で「正解」にはたどり着けていません(トホホ。)

●図、式の説明:
 全系の焦点距離を1として、焦点を原点とする直交座標を考えます。
光軸(=x軸:焦点->副鏡を正方向とする)上で測った値「m」「e」を与えて、
主鏡(子午)面の(x,y)座標を表現したのが問題の式です。
※「t」(i.e. 「u」)による「媒介変数表示」というヤツですね。
RC8.png
「m」は焦点・副鏡面間隔(定義上、正)
「e」は主・副鏡面間隔(ふつう正ですね) ※離心率ではありません。
「t」は「sin(u/2)**2」(2乗だから正ですね) ここで「u」は
   望遠鏡光軸に平行に入射した光線が(主鏡,副鏡とたどって)焦点で
   光軸と交わる角度(=「ヴァージェンス・アングル。」)
              ※※※
さて、他の式も確かめたくなった私は、クレチァンの原論文を調べたく
なってきました。 数値計算で光線追跡、あるいは
級数展開式との相互参照でも、ある程度の検証はできるでしょうが、
「厳密式」に敬意を表したいと思う次第です。

※もっとも、「高度の数学力」(と資力) の持ち合わせはありません。
※※趣味者の立場からすると「ご苦労でむだな小研究とあきれるのみ」
※※とか言っていただけると嬉しいのですけどね。(:-)

「Le téléscope de Newton et le télescope aplanétique」
(Revue d'optique théorique et instrumentale)
(=「Chretien, H. 1922, Rev. d'opt., 1, 13-22 and 49-64」)は
古書店で入手できるようですが、私には手が届きません。
 他方、国内の所蔵は(吉田先生が調べた)当時に比べて増えたようです。
最寄りの図書館で調べてもらうと、ある所蔵図書館の場合、郵送なら
「コピー代が¥50/枚、現金書留で申し込む」で「まず問い合わせて」とのこと。
直接訪問なら「内容確認できるしコピー代も安いでしょう」とも教えてくれました。
 電車賃を調べると、コピーの差額+書留料+送料程度で行ってこれるみたい。
そのうち、トコトコ(体調がゆるせば.........)某大学へ出かけたいな。
Linf
記事: 28
登録日時: 2023年8月12日(土) 16:10

Re: リッチー・クレチァン望遠鏡の理論(『吉田正太郎,新版 反射望遠鏡光学入門』(他))

投稿記事 by Linf »

「M」様

原著論文の記載は、式(B)です。
学術雑誌総合目録 自然科学(欧文篇)でRevue d'Optique 1 (1922)の所蔵機関(群大 東大 東大工 東大物理 立命図)を調べました。いずれの機関に複写を依頼したのかは、忘却の彼方です。

再録本は、
Daniel J. Schroeder; Selected Papers on Astronomical Optics, SPIE Milestone Series Volume MS 73 p. 24-31, p. 32-45 1993.
関連論文など
Henri Chrétien; CALCUL DES COMBINAISONS OPTIQUES 4e éd. 1959 (最新版は、5e éd. 1980)
393. COMBINAISON APLANÉTIQUE FORMÉE DE DEUX MIROIRS p. 377
394. EQUATIONS DIFFÉRENIELLES DU PROBLÈME GÉNÉRAL p. 377-379
395. TÉLÉSCOPE APLANÉTIQUE p. 379
396. INTÉGRATION p. 380-381
397. DÉVELOPPEMENTS EN SÉRIES p. 381-382

André Baranne; Le telescope Ritchey-Chretien de 3,50 metres,
Publications de l'Observatoire de Haute-Provence ; v. 8, no 22, [France] : Centre national de la recherche scientifique, c1966., p. 75-137
https://articles.adsabs.harvard.edu//fu ... で閲覧可。Print this articleをクリック。
レンズデザインガイドで言及された論文?
「M」
記事: 62
登録日時: 2023年7月29日(土) 19:25

Re: リッチー・クレチァン望遠鏡の理論(『吉田正太郎,新版 反射望遠鏡光学入門』(他))

投稿記事 by 「M」 »

Linfさん  みなさん こんにちは
”Linf” さんが書きました: 学術雑誌総合目録 自然科学(欧文篇)でRevue d'Optique 1 (1922)の所蔵機関(群大 東大 東大工 東大物理 立命図)を調べました。いずれの機関に複写を依頼したのかは、忘却の彼方です。
...
Daniel J. Schroeder; Selected Papers on Astronomical Optics ...
Henri Chrétien; CALCUL DES COMBINAISONS OPTIQUES 4e éd. ...
André Baranne; Le telescope Ritchey-Chretien de 3,50 metres ...
レンズデザインガイドで言及された論文?
さすが!です。ありがとうございます。

Schroederと Chrétienの書籍がGoogleBooksに登録されているのは
確認できましたが、(当方の環境では)で読むことができませんでした。

Baranneの論文は、旧掲示板「名鏡、銘鏡、、迷鏡?」で、すでにご紹介のものですね。
※そこでの、特に「RC」関連のギロンが途絶えてしまっているのは残念です。
これは...やはり学位論文なのでしょうか? 「論文誌論文」とは、
フンイキがちょっと違う...。
※「Journal des Observateurs」はマルセイユ天文台の「紀要」格なのでしょうかね。
           ※※※
『新版 反射,2005』p.248(『反射編,1988』p.180)の「4枚構成の写野補正レンズ」
「ESOの,非球面板を使った補正レンズ」の項に
”吉田正太郎” さんが書きました:  この望遠鏡は1962年に計画され,マルセイユ天文台のバランヌら3名のフランス隊と
ケーラーら3名の西ドイツ隊がそれぞれ設計をすすめ,両グループは1963年5月に
会議を開いて最終的にデータを決定しました。 ...
との記述があり、そこで紹介されている補正レンズ系の図は、Linfさんご紹介の論文の
(pdfの)p.59にあるものと同じだと思います。
 「この望遠鏡」は(「ESO 3.6 m Telescope」として)1976年に運用開始のようで、
ご紹介の論文が書かれた当時は、光学設計の実務が一段落だったのではないでしょうか。

 この論文、ざっと眺めたところでは、光軸ズレの影響の解析とか、上記の補正レンズ系の設計など、
理論の展開と(実用)設計の過程の紹介が主体という印象です。 「レンズデザインガイド」での
(いささかの皮肉を交えた)記述から想像した論文像とはズレている感じですね。
 RCの基本理論の紹介は、ほんの「前振り」という感じで、厳密解の導出はサラリと流しています。
Chrétienの(つまり『吉田:新版 反射,2005』など)とは記号が違うのと、座標系の原点を
(Chrétienの「主+副鏡合成系全体の焦点」でなく、)「主鏡面中心」に置いていることも
あって相互参照に苦労していますが...導出の各段階を追いかけてみるつもりです。
(さて、どうなりますかね。)

※Baranne氏の業績としては、まず「ドップラー分光法観測装置(系外惑星検出用)開発」とのことですが、
※「不詳だったCassegrain氏の身元調査」というのが望遠鏡趣味者にとって身近な成果かもしれません。
           ※※※
Linf>原著論文の記載は、式(B)です。

さあ大変(:-) そうなると「M」の主張は「原著論文の記載は間違っている」ということになる...と、
ここで紙数が尽きました!

※※式(B)が「原著論文の記載」を間違って引用(誤植)している、のか
※※あるいは、原著自体が誤植している、のか
※※(あるいは、「M」が間違っている、のか)...と考えていた次第です。
「M」
記事: 62
登録日時: 2023年7月29日(土) 19:25

Re: リッチー・クレチァン望遠鏡の理論(『吉田正太郎,新版 反射望遠鏡光学入門』(他))

投稿記事 by 「M」 »

みなさん こんにちは

※承前

●式(A)と式(B)
式(A)と式(B)を比較すると右辺の第2項が違いますね。
 (A)での分子は「t-(1-t)」  (B)での分子は「t(1-t)」
※「t-(1-t)」は見るからに怪しい(:-)

実は、式(B)が『発達史[下],1994』で、式(A)が『大全,2000』および
『新版 反射,2005』で印刷されているかたちです。
『大全,2000』で(掛け算を引き算に)誤植して『新版 反射,2005』は、
それを引き継いだと考えます。
M4.png
●式(B)
では、式(B)は正しいか?(「(e,mを決めておくと)
    tから主鏡子午面のx座標を計算する式」か?) 
光軸上を入射した光線ではu==0ですのでt==0。
式(B)でt==0とおくと         ※(「式(B,t=0)」) 
左辺は(光軸上の主鏡子午面のx座標=定義により) m-e。
右辺は...第3項の「eを含む因子」が消えてくれない! 

∴ 式(B)も間違っている。

※e==1/2のときに限って、「左辺 == -(右辺)」となる。
※実は、主鏡子午面と副鏡(子午)面の図を描いたときに、
※「鏡面の凸凹が逆になる」ことから、式が誤っていることに
※気づいた次第です。そして、疑いの目で見始めると...。

※※ 第3項第2因子のeの指数式が「-(1-2e)/(1-e)」なら
※※イイのにね (:0)


●式(D)
Linf さんに教えていただいたBaranneの論文の式は、どうでしょうか?
p.79(pdf p.5)の中頃にある、式(D)が主鏡子午面のX座標の厳密式です。

※X座標の原点は、Chrétienのx座標の原点と(m-e)だけズレた定義ですので、
光軸上の主鏡子午面のX座標は0。    ※式(D,Bxx’)

式(D)でt==0とおくと         ※式(D,t=0)
左辺は定義により 0。
右辺は、第3項の「eを含む因子」がキレイに消えて (x’- 0 - x’ ==) 0。

∴ (光軸上については)式(D)は正しい。

     ※※※
「これならば」と、同論文での厳密式導出の各段を追いかけるつもりになった次第です。

※しかしながら...誤植がある? 記号の使い方が統一されていない?(コマッテマス :-)
※※※これでは「査読はとおらない」のでは? (例によって)「M」が間違っている??
     ※※※
体調が悪くなっているので、しばらく投稿できないかもしれません。
「M」
記事: 62
登録日時: 2023年7月29日(土) 19:25

Re: リッチー・クレチァン望遠鏡の理論(『吉田正太郎,新版 反射望遠鏡光学入門』(他))

投稿記事 by 「M」 »

みなさん こんにちは

さて、「リッチー・クレチァン望遠鏡の厳密解」の件、やっと
「正解」にたどり着けたと思います。

参照したのは
Schwarzschild, K.,Untersuchungen zur geometrischen Optik. II,
Theorie der Spiegelteleskope.

※pdf: https://articles.adsabs.harvard.edu/ful ... ..10....1S
※※R.N.Wilsonによれば(Relecting Telescope Optics I p.74):-
※※「おそらく、これまでで(望遠鏡光学に関する)最も本質的で重要な論文。」

その中で「アプラナート2枚鏡」の厳密解(解析解)を導出しているのは
§5. Das aplanatische Spiegelsystem. ※p.20 .. p.25。

※興味を持った方がいらっしゃれば「解説」いたしますが...。 
※※(意外と「とっつきやすい」論文と感じました。)
y3.png
(9.10.1)が主鏡の式の正解のようです。 
※(例によって「ツッコミ」などなど、よろしくお願いします。:-)

つぎに「級数展開式」ですが...実は、こちらにも問題の箇所があるのです!?
※「まったりゆるゆる」と参ります。
「M」
記事: 62
登録日時: 2023年7月29日(土) 19:25

Re: リッチー・クレチァン望遠鏡の理論(『吉田正太郎,新版 反射望遠鏡光学入門』(他))

投稿記事 by 「M」 »

みなさん こんにちは

さて、「リッチー・クレチァン望遠鏡の厳密解」の級数展開。

※『吉田正太郎,天文アマチュアのための 新版 反射望遠鏡光学入門,2005』
※(以下『新版 反射,2005』)を参照しています。


まずは主鏡。 ※『新版 反射,2005』,p.235の(9.12),(9.13)
Yoshida_9.12_13-1.png
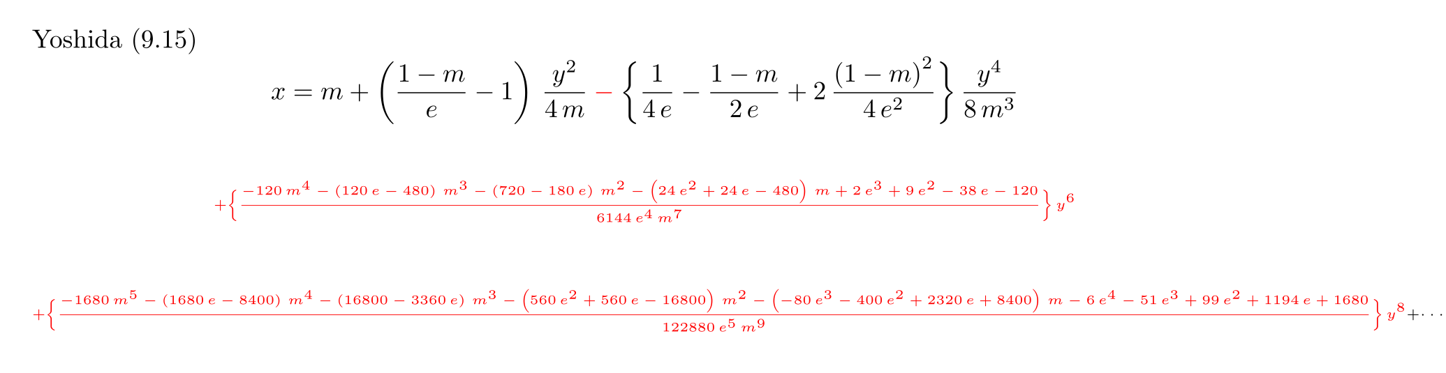
次に副鏡。 ※『新版 反射,2005』,p.236の(9.15)
ch20-4.png
主鏡の場合はyの0次項=(9.13)の「A」、が問題なことは、すぐに分かりますが
その他が「正しい」か、は結局、級数展開の「正解」を知らねば判断できない。
※(適当な条件で)級数展開式と厳密式を数値計算して比較することはできますけど。

...そこでTaylor(Maclaurin)展開を遂行しました。

主鏡の方は(比較的わかりやすい):-
・tをyの式で表す。
 ※sinの倍角公式を使えば2次方程式が得られる。これをtについて解く。
・それをつかって式(19.1)からtを消去すれば xがyの関数(陽形式)で表せる。
・あとは微分を繰りかえして... ふつうにTaylor展開すればよい。

副鏡の方は:-
※極座標表現のまま級数展開してから直交座標表現に変換することが示唆されているが...
※ワカラナイ!「検索」したのですが...(探し方が悪いらしく)なかなか出てこない。
※仕方がないので...
「我流」で媒介変数表現の展開法をひねりだしました(「合成関数の微分公式」を使う。) 
※※興味がある方がいらっしゃれば「解説」いたします。実務/(受験)勉強で微積と日々
※※付き合っている人からみれば、なんでもないことかもしれませんが。

 『新版 反射,2005』が当方の結果と違っていた箇所を赤字で示しましたが、
主鏡の10次項,副鏡の6次項,8次項も記しました。 自分でやってみて
「クレチァンもこれ以上進むことができなかったのか...」=『新版 反射,2005』,p236 と
いう状況が(すこし)分かった気がします。
        ※※※
さて、そもそも「アプラナート2枚鏡」の厳密解は、RC系の設計実務には(直接は)
必要ではないわけですが級数展開式がわかると、なにがウレシイか? それはですねぇ....

「まったりゆるゆる」と続きます。
※(例によって「ツッコミ」などなど、よろしくお願いします。:-)
返信する